42 M14A: Inferential Regression

This content draws on material from Statistical Inference via Data Science: A ModernDive into R and the Tidyverse [Second Edition] by Chester Ismay, Albert Y. Kim, and Arturo Valdivia licensed under CC BY-NC-SA 4.0

Changes to the source material include addition of new material; light editing; rearranging, removing, and combining original material; adding and changing links; and adding first-person language from current author.

The resulting content is licensed under CC BY-NC-SA 4.0.

In this walkthrough, we’ll revisit the same regression model we covered before getting into inferential statistics. This time, though, we’re going to take into account the inferential techniques that we’ve been exploring over the past three modules. We will see that when applying linear regression methods on sample data, we can gain insight into the relationships between the response and explanatory variables of an entire population.

Needed packages

If needed, read Section 6.3 for information on how to install and load R packages.

library(tidyverse)
library(moderndive)
library(infer)
library(gridExtra)
library(GGally)

Recall that loading the tidyverse package loads many packages that we have encountered earlier. For details refer to Section 18.4. The packages moderndive and infer contain functions and data frames that will be used in this chapter.

42.1 The simple linear regression model

42.1.1 UN member states revisited

Let’s briefly review the example of UN member states covered in Section 27.2. Data on the current UN member states, as of 2024, can be found in the un_member_states_2024 data frame included in the moderndive package. As we did in Section 27.2, we save these data as a new data frame called UN_data_mod14, select() the required variables, and include rows without missing data using na.omit():

UN_data_mod14 <- un_member_states_2024 |>
  select(country,
         life_exp = life_expectancy_2022, 
         fert_rate = fertility_rate_2022)|>
  na.omit()
UN_data_mod14
column n group type min Q1 mean median Q3 max sd
life_exp 183 numeric 53.6 69.4 73.66 75.2 78.3 86.4 6.84
fert_rate 183 numeric 0.9 1.6 2.48 2.0 3.2 6.6 1.15

Above, we can see a summary of the two numerical variables. Note that there are 183 observations without missing values. Using simple linear regression between the fertility rate response variable (fert_rate), or \(y\), and the life expectancy regressor (life_exp), or \(x\), the regression line is:

\[ \widehat{y}_i = b_0 + b_1 \cdot x_i. \]

We saw this equation previously, but we’re now adding the subscript \(i\) to represent the \(i\)th observation or country in the UN dataset. We’ll let \(i = 1\), \(\dots\), \(n\) with \(n = 183\) for this UN data. The value \(x_i\) represents the life expectancy value for the \(i\)th member state, and \(\widehat{y}_i\) is the fitted fertility rate for the \(i\)th member state. The fitted fertility rate is the result of the regression line and is typically different than the observed response \(y_i\). The residual is given as the difference \(y_i - \widehat{y}_i\).

As discussed when we first covered regression, the intercept (\(b_0\)) and slope (\(b_1\)) are the regression coefficients, such that the regression line is the “best-fitting” line based on the least-squares criterion. In other words, the fitted values \(\widehat{y}\) calculated using the least-squares coefficients (\(b_0\) and \(b_1\)) minimize the sum of the squared residuals:

\[ \sum_{i=1}^{n}(y_i - \widehat{y}_i)^2 \]

As we did several modules ago, we’ll fit the linear regression model. By “fit,” we mean that we’ll calculate the regression coefficients, \(b_0\) and \(b_1\), that minimize the sum of squared residuals. To do this in R, we use the lm() function with the formula fert_rate ~ life_exp and save the solution in simple_model:

simple_model <- lm(fert_rate ~ life_exp, data = UN_data_mod14)
coef(simple_model)
Coefficients Values
(Intercept) b0 12.613
life_exp b1 -0.137

The regression line is \(\widehat{y}_i = b_0 + b_1 \cdot x_i = 12.613 - 0.137 \cdot x_i\), where \(x_i\) is the life expectancy for the \(i\)th country and \(\widehat{y}_i\) is the corresponding fitted fertility rate. The \(b_0\) coefficient is the intercept and has a meaning only if the range of values of the regressor, \(x_i\), includes zero. Since life expectancy is always a positive value, the intercept in this example doesn’t make much logical sense, so we won’t bother to interpret it. The \(b_1\) coefficient is the slope of the regression line; for any country, if the life expectancy were to increase by about one year, we would expect an associated reduction of the fertility rate by about 0.137 units.

We can visualize the relationship of the data observed in Figure 42.1 by plotting the scatterplot of fertility rate against life expectancy for all the UN member states with complete data. We’ll also include the regression line using the least-squares criterion:

ggplot(UN_data_mod14, aes(x = life_exp, y = fert_rate)) +
  geom_point() +
  labs(x = "Life Expectancy (x)", 
       y = "Fertility Rate (y)",
       title = "Relationship between fertility rate and life expectancy") +  
  geom_smooth(method = "lm", se = FALSE, linewidth = 0.5)
Relationship with regression line.

Figure 42.1: Relationship with regression line.

Finally, let’s review how to determine the fitted values and residuals for observations in the dataset. France is one of the UN member states, so let’s suppose we want to determine the fitted fertility rate for France based on the linear regression. We start by determining the location of France in the UN_data_mod14 data frame, using rowid_to_column() and filter() with the variable country equal to “France.” The pull() function converts the row number as a data frame to a single value:

UN_data_mod14 |>
  rowid_to_column() |>
  filter(country == "France")|>
  pull(rowid)
[1] 57

France is the 57th member state in UN_data_mod14. Its observed fertility rate and life expectancy are:

UN_data_mod14 |>
  filter(country == "France")
# A tibble: 1 × 3
  country life_exp fert_rate
  <chr>      <dbl>     <dbl>
1 France     82.59       1.8

France’s life expectancy is \(x_{57} = 82.59\) years and the fertility rate is \(y_{57} =1.8\). Using the regression line from earlier, we can determine France’s fitted fertility rate:

\[ \begin{aligned} \widehat{y}_{57} &= 12.613 - 0.137 \cdot x_{57}\\ &= 12.613 - 0.137 \cdot 82.59\\ &= 1.258. \end{aligned} \]

Based on our regression line we would expect France’s fertility rate to be 1.258. However, the observed fertility rate for France was 1.8, so the residual for France is \(y_{57} - \widehat{y}_{57} = 1.8 - 1.258 = 0.542\).

Using R, we don’t have to manually calculate the fitted values and residual for each UN member state. Instead, we do this directly using the regression model simple_model and the get_regression_points() function. To do this only for France, we filter() the 57th observation in the data frame.

simple_model |>
  get_regression_points() |>
  filter(ID == 57)
ID fert_rate life_exp fert_rate_hat residual
57 1.8 82.6 1.26 0.542

We can retrieve this information for each observation. To demonstrate, here are the first few rows:

simple_model |>
  get_regression_points()
# A tibble: 183 × 5
      ID fert_rate life_exp fert_rate_hat residual
   <int>     <dbl>    <dbl>         <dbl>    <dbl>
 1     1       4.3    53.65         5.237   -0.937
 2     2       1.4    79.47         1.687   -0.287
 3     3       2.7    78.03         1.885    0.815
 4     4       5      62.11         4.074    0.926
 5     5       1.6    77.8          1.916   -0.316
 6     6       1.9    78.31         1.846    0.054
 7     7       1.6    76.13         2.146   -0.546
 8     8       1.6    83.09         1.189    0.411
 9     9       1.5    82.27         1.302    0.198
10    10       1.6    74.15         2.418   -0.818
# ℹ 173 more rows

Okay, now that we’ve reviewed regression, let’s now explore how to use this information for statistical inference.

42.1.2 The model

As we did when studying confidence intervals and hypothesis testing, let’s consider a problem in the context of a population and associated parameters of interest. We can collect a random sample from this population and use it to estimate these parameters.

We assume that this population has a response variable (\(Y\)), an explanatory variable (\(X\)), and there is a statistical linear relationship between these variables, given by the linear model

\[Y = \beta_0 + \beta_1 \cdot X + \epsilon,\]

where \(\beta_0\) is the population intercept and \(\beta_1\) is the population slope. These are now the parameters of the model that, alongside the explanatory variable (\(X\)), produce the equation of a line. The statistical part of this relationship is given by \(\epsilon\), a random variable called the error term. The error term accounts for the portion of \(Y\) that is not explained by the line.

We also make assumptions about the distribution of the error term, \(\epsilon\). The assumed expected value of the error term is zero, and the assumed standard deviation is equal to a positive constant called \(\sigma\), or in mathematical terms: \(E(\epsilon) = 0\) and \(SD(\epsilon) = \sigma.\)

Let’s review the meaning of these quantities. If you were to take a large number of observations from this population, we would expect the error terms sometimes to be greater than zero and sometimes less than zero, but on average, be equal to zero. Similarly, some error terms will be very close to zero and others very far from zero, but on average, we would expect them to be roughly \(\sigma\) units away from zero.

Remember that the square of the standard deviation is called the variance, so \(Var(\epsilon) = \sigma^2\). The variance of the error term is equal to \(\sigma^2\) regardless of the value of \(X\). This property is called homoskedasticity or constancy of the variance. It will be useful later on in our analysis.

42.1.3 Using a sample for inference

As we did with confidence intervals and hypothesis testing, we’ll use a sample to estimate the parameters in the population. Let’s use data collected from the Old Faithful Geyser in Yellowstone National Park in Wyoming, USA. This dataset contains the duration of the geyser eruption in seconds and the waiting time to the next eruption in minutes. The duration of the current eruption can help determine fairly well the waiting time to the next eruption. For this example, we use a sample of data collected by volunteers and saved on the website https://geysertimes.org/ between June 1st, 2024 and August 19th, 2024.

These data are stored in the old_faithful_2024 data frame in the moderndive package. While data collected by volunteers are not a true random sample, as the volunteers could introduce some sort of bias, the eruptions selected by the volunteers had no specific patterns. Furthermore, beyond the individual skill of each volunteer measuring the times appropriately, no response bias or preference seems to be present. Therefore, it seems safe to consider the data a random sample. Here are the first ten rows:

old_faithful_2024
# A tibble: 114 × 6
   eruption_id date        time waiting webcam duration
         <dbl> <date>     <dbl>   <dbl> <chr>     <dbl>
 1     1473854 2024-08-19   538     180 Yes         235
 2     1473352 2024-08-15  1541     184 Yes         259
 3     1473337 2024-08-15  1425     116 Yes         137
 4     1473334 2024-08-15  1237     188 Yes         222
 5     1473331 2024-08-15  1131     106 Yes         105
 6     1473328 2024-08-15   944     187 Yes         180
 7     1473207 2024-08-14  1231     182 Yes         244
 8     1473201 2024-08-14  1041     190 Yes         278
 9     1473137 2024-08-13  1810     138 Yes         249
10     1473108 2024-08-13  1624     186 Yes         262
# ℹ 104 more rows

By looking at the first row we can tell, for example, that an eruption on August 19, 2024, at 5:38 AM lasted 235 seconds, and the waiting time for the next eruption was 180 minutes. Let’s now display the summary for these two variables:

old_faithful_2024 |>
  select(duration, waiting) |> 
  tidy_summary()
column n group type min Q1 mean median Q3 max sd
duration 114 numeric 99 180 217 240 259 300 59.0
waiting 114 numeric 102 139 160 176 184 201 29.9

We have a sample of 114 eruptions, lasting between 99 seconds and 300 seconds, and the waiting time to the next eruption was between 102 minutes and 201 minutes. Note that each observation is a pair of values, the value of the explanatory variable (\(X\)) and the value of the response (\(Y\)). The sample takes the form:

\[\begin{array}{c} (x_1,y_1)\\ (x_2, y_2)\\ \vdots\\ (x_n, y_n)\\ \end{array}\]

where, for example, \((x_2, y_2)\) is the pair of explanatory and response values, respectively, for the second observation in the sample. More generally, we denote the \(i\)th pair by \((x_i, y_i)\), where \(x_i\) is the observed value of the explanatory variable \(X\) and \(y_i\) is the observed value of the response variable \(Y\). Since the sample has \(n\) observations we let \(i=1\), \(\dots\), \(n\).

In our example \(n = 114\), and \((x_2, y_2) = (259, 184)\). Figure 42.2 shows the scatterplot for the entire sample with some transparency set to check for overplotting:

Scatterplot of relationship of eruption duration and waiting time.

Figure 42.2: Scatterplot of relationship of eruption duration and waiting time.

The relationship seems positive and, to some extent, linear (that is, in the shape of a straight line).

42.1.4 The method of least squares

If the association of these variables is linear or approximately linear, we can apply the linear model described in Subsection 42.1.2 to each observation in the sample:

\[\begin{aligned} y_1 &= \beta_0 + \beta_1 \cdot x_1 + \epsilon_1\\ y_2 &= \beta_0 + \beta_1 \cdot x_2 + \epsilon_2\\ \vdots & \phantom{= \beta_0 + \beta_1 \cdot + \epsilon_2 +}\vdots \\ y_n &= \beta_0 + \beta_1 \cdot x_n + \epsilon_n \end{aligned}\]

We want to be able to use this model to describe the relationship between the explanatory variable and the response, but the parameters \(\beta_0\) and \(\beta_1\) are unknown to us. We can estimate these parameters using the random sample by applying the least-squares method introduced in Section 27.2. We’ll compute the estimators for the intercept (\(\beta_0\)) and slope (\(\beta_1\)) that minimize the sum of squared residuals:

\[\sum_{i=1}^n \left[y_i - (\beta_0 + \beta_1 \cdot x_i)\right]^2.\]

This is an optimization problem; to solve it analytically we require calculus and the topic goes beyond the scope of this book. We’ll consider a sketch of the solution here for those familiar with the method. Using the expression above, we find the partial derivative with respect to \(\beta_0\) and equate that expression to zero, the partial derivative with respect to \(\beta_1\) and equate that expression to zero, and use those two equations to solve for \(\beta_0\) and \(\beta_1\). The solutions are the regression coefficients introduced first in Section 27.2: \(b_0\) is the estimator of \(\beta_0\) and \(b_1\) is the estimator of \(\beta_1\). They are called the least squares estimators and their mathematical expressions are:

\[b_1 = \frac{\sum_{i=1}^n(x_i - \bar x)(y_i - \bar y)}{\sum_{i=1}^n(x_i - \bar x)^2} \text{ and } b_0 = \bar y - b_1 \cdot \bar x.\]

Furthermore, an estimator for the standard deviation of \(\epsilon_i\) is given by

\[s = \sqrt{\frac{\sum_{i=1}^n \left[y_i - (b_0 + b_1 \cdot x_i)\right]^2}{n-2}} = \sqrt{\frac{\sum_{i=1}^n \left(y_i - \widehat{y}_i\right)^2}{n-2}}.\]

These or equivalent calculations are done in R when using the lm() function. For old_faithful_2024 we get the results shown in Table 42.1:

# Fit regression model:
model_1 <- lm(waiting ~ duration, data = old_faithful_2024)

# Get the coefficients and standard deviation for the model
coef(model_1)
sigma(model_1)
Table 42.1: Old Faithful geyser linear regression coefficients
Coefficients Values
(Intercept) b0 79.459
duration b1 0.371
s 20.370

Based on these data, and assuming the linear model is appropriate, we can say that for every additional second that an eruption lasts, the waiting time to the next eruption increases, on average, by 0.37 minutes. All eruptions last longer than zero seconds, so the intercept has no meaningful interpretation in this example. Finally, we roughly expect the waiting time for the next eruption to be 20.37 minutes away from the regression line value, on average.

42.1.5 Properties of the least squares estimators

The least squares method produces the best-fitting line by selecting the least squares estimators, \(b_0\) and \(b_1\), that make the sum of residual squares the smallest possible. But the choice of \(b_0\) and \(b_1\) depends on the sample observed. For every random sample taken from the data, different values for \(b_0\) and \(b_1\) will be determined. In that sense, the least squares estimators, \(b_0\) and \(b_1\), are random variables and as such, they have very useful properties:

  • \(b_0\) and \(b_1\) are unbiased estimators of \(\beta_0\) and \(\beta_1\), or using mathematical notation: \(E(b_0) = \beta_0\) and \(E(b_1) = \beta_1\). This means that, for some random samples, \(b_1\) will be greater than \(\beta_1\) and for others less than \(\beta_1\). On average, \(b_1\) will be equal to \(\beta_1\).
  • \(b_0\) and \(b_1\) are linear combinations of the observed responses \(y_1\), \(y_2\), \(\dots\), \(y_n\). This means that, for example for \(b_1\), there are known constants \(c_1\), \(c_2\), \(\dots\), \(c_n\) such that \(b_1 = \sum_{i=1}^n c_iy_i\).
  • \(s^2\) is an unbiased estimator of the variance \(\sigma^2\).

These properties will be useful in the next subsection, once we perform theory-based inference for regression.

42.1.6 Relating basic regression to other methods

To wrap-up this section, we’ll be investigating how regression relates to two different statistical techniques. One of them was covered already in this book, the difference in sample means, and the other is new-but-related, ANOVA. We’ll see how both can be represented in the regression framework.

Two-sample difference in means

The two-sample difference in means is a common statistical technique used to compare the means of two groups as seen in Section 39.6. It is often used to determine if there is a significant difference in the mean response between two groups, such as a treatment group and a control group. The two-sample difference in means can be represented in the regression framework by using a dummy variable to represent the two groups.

Let’s again consider the movies_sample data frame in the moderndive package. We’ll compare once more the average rating for the genres of “Action” versus “Romance.” We can use the lm() function to fit a linear model with a dummy variable for the genre and then use get_regression_table():

mod_diff_means <- lm(rating ~ genre, data = movies_sample)
get_regression_table(mod_diff_means)
Table 42.2: Regression table for two-sample difference in means example
term estimate std_error statistic p_value lower_ci upper_ci
intercept 5.28 0.265 19.92 0.000 4.746 5.80
genre: Romance 1.05 0.364 2.88 0.005 0.321 1.77

Note from Table 42.2 that p_value for the genre: Romance row is the \(p\)-value for the hypothesis test of

\[ H_0: \text{action and romance have the same mean rating} \] \[ H_A: \text{action and romance have different mean ratings} \]

This \(p\)-value result matches closely with what was found in Section 39.6, but here we are using a theory-based approach with a linear model. The estimate for the genre: Romance row is the observed difference in means between the “Action” and “Romance” genres that we also saw in Section 39.6, except the sign is switched since the “Action” genre is the reference level.

ANOVA

ANOVA, or analysis of variance, is a statistical technique used to compare the means of three or more groups by seeing if there is a statistically significant difference between the means of multiple groups. ANOVA can be represented in the regression framework by using dummy variables to represent the groups. Let’s say we wanted to compare the (numeric) popularity values in the spotify_by_genre data frame from the moderndive package across the genres of country, hip-hop, and rock. We can use the slice_sample() function after narrowing in on our selected columns and filtered rows of interest to see what a few rows of this data frame look like in Table 42.3.

spotify_for_anova <- spotify_by_genre |> 
  select(artists, track_name, popularity, track_genre) |> 
  filter(track_genre %in% c("country", "hip-hop", "rock")) 
spotify_for_anova |> 
  slice_sample(n = 5)
Table 42.3: Five randomly selected rows from spotify_for_anova
artists track_name popularity track_genre
Counting Crows Mr. Jones 0 rock
Luke Bryan Country Girl (Shake It For Me) 2 country
Salebarbes Marcher l’plancher - Live 42 country
Darius Rucker Wagon Wheel 1 country
Billy Joel Vienna 78 rock

Before we fit a linear model, let’s take a look at the boxplot of track_genre versus popularity in Figure 42.3 to see if there are any differences in the distributions of the three genres.

ggplot(spotify_for_anova, aes(x = track_genre, y = popularity)) +
  geom_boxplot() +
  labs(x = "Genre", y = "Popularity")
Boxplot of popularity by genre.

Figure 42.3: Boxplot of popularity by genre.

We can also compute the mean popularity grouping by track_genre:

mean_popularities_by_genre <- spotify_for_anova |> 
  group_by(track_genre) |>
  summarize(mean_popularity = mean(popularity))
mean_popularities_by_genre
# A tibble: 3 × 2
  track_genre mean_popularity
  <chr>                 <dbl>
1 country             17.0280
2 hip-hop             37.759 
3 rock                19.0010

We can use the lm() function to fit a linear model with dummy variables for the genres. We’ll then use the get_regression_table() function to get the regression table in Table 42.4.

mod_anova <- lm(popularity ~ track_genre, data = spotify_for_anova)
get_regression_table(mod_anova)
Table 42.4: Regression table for ANOVA example
term estimate std_error statistic p_value lower_ci upper_ci
intercept 17.03 0.976 17.45 0.000 15.114 18.94
track_genre: hip-hop 20.73 1.380 15.02 0.000 18.025 23.44
track_genre: rock 1.97 1.380 1.43 0.153 -0.733 4.68

The estimate for the track_genre: hip-hop and track_genre: rock rows are the differences in means between the “hip-hop” and “country” genres and the “rock” and “country” genres, respectively. The “country” genre is the reference level. These values match up (with some rounding differences) to what is shown in mean_popularities_by_genre.

The p_value column corresponds to hip-hop having a statistically higher mean popularity compared to country with a value of close to 0 (reported as 0). It also gives us that rock does not have a statistically significant \(p\)-value at 0.153, which would make us inclined to say that rock does not have a significantly higher popularity compared to country.

The traditional ANOVA doesn’t give this level of granularity. It can be performed using the aov() function and the anova() function via a pipe (|>):

aov(popularity ~ track_genre, data = spotify_for_anova) |> 
  anova()
Analysis of Variance Table

Response: popularity
              Df  Sum Sq Mean Sq F value              Pr(>F)    
track_genre    2  261843  130922     137 <0.0000000000000002 ***
Residuals   2997 2855039     953                                
---
Signif. codes:  0 '***' 0.001 '**' 0.01 '*' 0.05 '.' 0.1 ' ' 1

The small \(p\)-value here of 2.2e-16 is very close to 0. In R, e-16 means we should move the decimal place 16 places to the left to interpret, which comes out to 0.0000000000000022. (If it read e+16, we would move the decimal place 16 places to the right instead: 22,000,000,000,000,000). This very small \(p\)-value would lead us to reject the null hypothesis that the mean popularities are equal across the three genres. This is consistent with the results we found using the linear model. The traditional ANOVA results do not tell us which means are different from each other though, but the linear model does. ANOVA tells us only that a difference exists in the means of the groups.

42.2 Theory-based inference for simple linear regression

This section introduces the conceptual framework needed for theory-based inference for regression and discusses the two most prominent methods for inference: confidence intervals (Subsection 42.2.3) and hypothesis tests (Subsection 42.2.4). Some of this material is slightly more technical than other sections in this chapter, but most of the material is illustrated by working with a real example and interpretations and explanations complement the theory. Subsection 42.2.5 presents the R code needed to calculate relevant quantities for inference. Feel free to read this section first.

42.2.1 Conceptual framework

Let’s start by reviewing the assumptions of the linear model. We continue using the old_faithful_2024 to illustrate some of this framework. Recall that we have a random sample of \(n = 114\) observations. Since we assume a linear relationship between the duration of an eruption and the waiting time to the next eruption, we can express the linear relationship for the \(i\)th observation as \(y_i = \beta_0 + \beta_1 \cdot x_i + \epsilon_i\) for \(i=1,\dots,n\). Observe that \(x_i\) is the duration of the \(i\)th eruption in the sample, \(y_i\) is the waiting time to the next eruption, and \(\beta_0\) and \(\beta_1\) are the population parameters that are considered constant. The error term \(\epsilon_i\) is a random variable that represents how different the observed response \(y_i\) is from the expected response \(\beta_0 + \beta_1 \cdot x_i\).

We can illustrate the role of the error term using two observations from our old_faithful_2024 dataset. We assume for now that the linear model is appropriate and truly represents the relationship between duration and waiting times. We select the 49th and 51st observations in our sample by using the function slice() with the corresponding rows:

old_faithful_2024 |>
  slice(c(49, 51))
# A tibble: 2 × 6
  eruption_id date        time waiting webcam duration
        <dbl> <date>     <dbl>   <dbl> <chr>     <dbl>
1     1469584 2024-07-18  1117     139 Yes         236
2     1469437 2024-07-17  1157     176 Yes         236

Note that the duration time is the same for both observations but the response waiting time is different. Assuming that the linear model is appropriate, both responses can be expressed as:

\[\begin{aligned} y_{49} &= \beta_0 + \beta_1 \cdot 236 + \epsilon_{49}\\ y_{51} &= \beta_0 + \beta_1 \cdot 236 + \epsilon_{51} \end{aligned}\]

but \(y_{49} = 139\) and \(y_{51} = 176\). The difference in responses is due to the error term as it accounts for variation in the response not accounted for by the linear model.

In the linear model the error term \(\epsilon_i\) has expected value \(E(\epsilon_i) = 0\) and standard deviation \(SD(\epsilon_i) = \sigma\). Since a random sample is taken, we assume that any two error terms \(\epsilon_i\) and \(\epsilon_j\) for any two different eruptions \(i\) and \(j\) are independent.

In order to perform the theory-based inference we require one additional assumption. We let the error term be normally distributed with an expected value (mean) equal to zero and a standard deviation equal to \(\sigma\):

\[\epsilon_i \sim Normal(0, \sigma).\]

The population parameters \(\beta_0\) and \(\beta_1\) are constants. Similarly, the duration of the \(i\)th eruption, \(x_i\), is known and also a constant. Therefore, the expression \(\beta_0 + \beta_1 \cdot x_i\) is a constant. By contrast, \(\epsilon_i\) is a normally distributed random variable.

The response \(y_i\) (the waiting time for the \(i\)th eruption to the next) is the sum of the constant \(\beta_0 + \beta_1 \cdot x_i\) and the normally distributed random variable \(\epsilon_i\). Based on properties of random variables and the normal distribution, we can state that \(y_i\) is also a normally distribution random variable with mean equal to \(\beta_0 + \beta_1 \cdot x_i\) and standard deviation equal to \(\sigma\):

\[y_i \sim Normal(\beta_0 + \beta_1 x_i\,,\, \sigma)\]

for \(i=1,\dots,n\). Since \(\epsilon_i\) and \(\epsilon_j\) are independent, \(y_i\) and \(y_j\) are also independent for any \(i \ne j\).

In addition, as stated in Subsection 42.1.5, the least-squares estimator \(b_1\) is a linear combination of the random variables \(y_1, \dots, y_n\). So \(b_1\) is also a random variable! What does this mean? The coefficient for the slope results from a particular sample of \(n\) pairs of duration and waiting times. If we collected a different sample of \(n\) pairs, the coefficient for the slope would likely be different due to sampling variation.

Imagine that we’d collected many random samples of pairs of duration and waiting times and, using the least-squares method, computed the slope \(b_1\) for each of these samples. These slopes would form the sampling distribution of \(b_1\), which we discussed in Subsection 33.3.4 in the context of sample proportions. What we would learn is that, because \(y_1, \dots, y_n\) are normally distributed and \(b_1\) is a linear combination of these random variables, \(b_1\) is also normally distributed. After some calculations that go beyond the scope of this book but take into account properties of the expected value and standard deviation of the responses \(y_1, \dots, y_n\), it can be shown that:

\[b_1 \sim Normal \left(\beta_1\,,\, \frac{\sigma}{\sqrt{\sum_{i=1}^n(x_i - \bar x)^2}}\right)\]

That is, \(b_1\) is normally distributed with expected value \(\beta_1\) and standard deviation equal to the expression above (inside the parentheses and after the comma). Similarly, \(b_0\) is a linear combination of \(y_1, \dots, y_n\) and using properties of the expected value and standard deviation of the responses, we get:

\[b_0 \sim Normal \left(\beta_0\,,\, \sigma\sqrt{\frac1n + \frac{\bar x^2}{\sum_{i=1}^n(x_i - \bar x)^2}}\right)\]

We can also standardize the least-square estimators such that

\[z_0 = \frac{b_0 - \beta_0}{\left(\sigma\sqrt{\frac1n + \frac{\bar x^2}{\sum_{i=1}^n(x_i - \bar x)^2}}\right)}\qquad\text{ and }\qquad z_1 = \frac{b_1 - \beta_1}{\left(\frac{\sigma}{\sqrt{\sum_{i=1}^n(x_i - \bar x)^2}}\right)}\]

are the corresponding standard normal distributions.

42.2.2 Standard errors for least-squares estimators

Recall that when discussing sampling, we established that, due to the Central Limit Theorem, the distribution of the sample mean \(\overline X\) was approximately normal with mean equal to the parameter \(\mu\) and standard deviation equal to \(\sigma/\sqrt n\). We then used the estimated standard error of \(\overline X\) to construct confidence intervals and hypothesis tests.

We’ll now use an analogous treatment to construct confidence intervals and hypothesis tests for \(b_0\) and \(b_1\). Observe in the equations above that the standard deviations for \(b_0\) and \(b_1\) are constructed using the sample size \(n\), the values of the explanatory variables, their means, and the standard deviation of \(y_i\) (\(\sigma\)). While most of these values are known to us, \(\sigma\) is typically not.

Instead, we’ll estimate \(\sigma\) using the estimator of the standard deviation, \(s\), introduced in Subsection 42.1.4. The estimated standard deviation of \(b_1\) is called the standard error of \(b_1\), and it is given by:

\[SE(b_1) = \frac{s}{\sqrt{\sum_{i=1}^n(x_i - \bar x)^2}}.\]

Recall that the standard error is the standard deviation of any point estimate computed from a sample. The standard error of \(b_1\) quantifies how much variation the estimator of the slope \(b_1\) may have for different random samples. The larger the standard error, the more variation we would expect in the estimated slope \(b_1\). Similarly, the standard error of \(b_0\) is:

\[SE(b_0) = s\sqrt{\frac1n + \frac{\bar x^2}{\sum_{i=1}^n(x_i - \bar x)^2}}\]

As we discussed in Subsection 36.1.4, when using the estimator \(s\) instead of the parameter \(\sigma\), we are introducing additional uncertainty in our calculations. For example, we can standardize \(b_1\) using

\[t = \frac{b_1 - \beta_1}{SE(b_1)}.\]

Because we are using \(s\) to calculate \(SE(b_1)\), the value of the standard error changes from sample to sample, and this additional uncertainty makes the distribution of the test statistic \(t\) no longer normal. Instead, it follows a \(t\)-distribution with \(n-2\) degrees of freedom. The loss of two degrees of freedom relates to the fact that we are trying to estimate two parameters in the linear model: \(\beta_0\) and \(\beta_1\). We are ready to use this information to perform inference for the least-square estimators, \(b_0\) and \(b_1\).

42.2.3 Confidence intervals for the least-squares estimators

A 95% confidence interval for \(\beta_1\) can be thought of as a range of plausible values for the population slope \(\beta_1\) of the linear relationship between duration and waiting times. In general, if the sampling distribution of an estimator is normal or approximately normal, the confidence interval for the relevant parameter is

\[ \text{point estimate} \pm \text{margin of error} = \text{point estimate} \pm (\text{critical value} \cdot \text{standard error}). \]

The formula for a 95% confidence interval for \(\beta_1\) is given by \(b_1 \pm q \cdot SE(b_1)\) where the critical value \(q\) is determined by the level of confidence required, the sample size used, and the corresponding degrees of freedom needed for the \(t\)-distribution. Let’s now illustrate how to find the 95% confidence interval for the slope in the Old Faithful example manually, but we’ll see later how to do this directly in R using the function get_regression_table(). First, note that \(n = 114\), so the degrees of freedom are \(n-2 = 112\). The critical value for a 95% confidence interval on a \(t\)-distribution with 112 degrees of freedom is \(q = 1.981\). Second, the estimates \(b_0\), \(b_1\), and \(s\) were found earlier and are shown here again in Table 42.5:

Table 42.5: Old Faithful linear regression coefficients
Coefficients Values
(Intercept) b0 79.459
duration b1 0.371
s 20.370

Third, the standard error for \(b_1\) using the formula presented earlier is:

\[SE(b_1) = \frac{s}{\sqrt{\sum_{i=1}^n(x_i - \bar x)^2}} = \frac{20.37}{627.583} = 0.032.\]

Finally, the 95% confidence interval for \(\beta_1\) is given by:

\[\begin{aligned} b_1 &\pm q \cdot SE(b_1)\\ &= 0.371 \pm 1.981\cdot 0.032\\ &= (0.308 , 0.434) \end{aligned}\]

We are 95% confident that the population slope \(\beta_1\) is a number between 0.308 and 0.434.

The construction of a 95% confidence interval for \(\beta_0\) follows exactly the same steps using \(b_0\), \(SE(b_0)\), and the same critical value \(q\) as the degrees of freedom for the \(t\)-distribution are exactly the same, \(n-2\):

\[\begin{aligned} b_0 &\pm q \cdot SE(b_0)\\ &= 79.459 \pm 1.981\cdot 7.311\\ &= (-14.112, 14.854) \end{aligned}\]

The results of the confidence intervals are valid only if the linear model assumptions are satisfied. We’ll discuss these assumptions in Section 42.2.6.

42.2.4 Hypothesis test for population slope

To perform a hypothesis test for \(\beta_1\), the general formulation of a two-sided test is

\[\begin{aligned} H_0: \beta_1 = B\\ H_A: \beta_1 \ne B \end{aligned}\]

where \(B\) is the hypothesized value for \(\beta_1\). Recall the terminology, notation, and definitions related to hypothesis tests we introduced in Section 39.3. A hypothesis test consists of a test between two competing hypotheses: (1) a null hypothesis \(H_0\) versus (2) an alternative hypothesis \(H_A\).

Test statistic

A test statistic is a point estimator used for hypothesis testing. Here, the t-test statistic is given by

\[t = \frac{b_1 - B}{SE(b_1)}.\]

This test statistic follows, under the null hypothesis, a \(t\)-distribution with \(n-2\) degrees of freedom. A particularly useful test is whether there is a linear association between the explanatory variable and the response, which is equivalent to testing:

\[\begin{aligned} H_0: \beta_1 = 0\\ H_1: \beta_1 \ne 0 \end{aligned}\]

For example, we can use this test to determine whether there is a linear relationship between the duration of the Old Faithful geyser eruptions (duration) and the waiting time to the next eruption (waiting). The null hypothesis \(H_0\) assumes that the population slope \(\beta_1\) is 0. If this is true, then there is no linear relationship between the duration and waiting times. When performing a hypothesis test, we assume that the null hypothesis \(H_0: \beta_1 = 0\) is true and try to find evidence against it based on the data observed.

The alternative hypothesis \(H_A\), on the other hand, states that the population slope \(\beta_1\) is not 0, meaning that longer eruption duration may result in greater or smaller waiting times to the next eruption. This suggests either a positive or negative linear relationship between the explanatory variable and the response. Since evidence against the null hypothesis may happen in either direction in this context, we call this a two-sided test. The t-test statistic for this problem is given by:

\[t = \frac{b_1 - 0}{SE(b_1)} = \frac{0.371 - 0}{0.032} = 11.594\]

The p-value

Recall the terminology, notation, and definitions related to hypothesis tests we discussed in Section 39.3. The definition of the \(p\)-value is the probability of obtaining a test statistic just as extreme as or more extreme than the one observed, assuming the null hypothesis \(H_0\) is true. We can intuitively think of the \(p\)-value as quantifying how “extreme” the estimated slope is (\(b_1\) = 0.371), assuming there is no relationship between duration and waiting times.

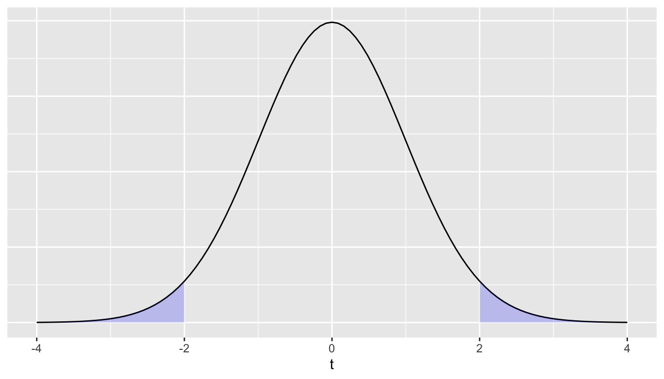
For a two-sided test, if the test statistic is \(t = 2\) for example, the \(p\)-value is calculated as the area under the \(t\)-curve to the left of \(-2\) and to the right of \(2\) is shown in Figure 42.4.

Illustration of a two-sided p-value for a t-test.

Figure 42.4: Illustration of a two-sided p-value for a t-test.

In our Old Faithful geyser eruptions example, the test statistic for the test \(H_0: \beta_1 = 0\) was \(t = 11.594\). The \(p\)-value was so small that R simply shows that it is equal to zero.

Interpretation

Following the hypothesis testing procedure we discussed in Section 39.5, since the \(p\)-value was practically 0, for any choice of significance level \(\alpha\), we would reject \(H_0\) in favor of \(H_A\). In other words, assuming that there is no linear association between duration and waiting times, the probability of observing a slope as extreme as the one we have attained using our random sample, was practically zero. In conclusion, we reject the null hypothesis that there is no linear relationship between duration and waiting times. We have enough statistical evidence to conclude that there is a linear relationship between these variables.

42.2.5 The regression table in R

The least-square estimates, standard errors, test statistics, \(p\)-values, and confidence interval bounds discussed in Section 42.2 and Subsections 42.2.1, 42.2.2, 42.2.3, and 42.2.4 can be calculated, all at once, using the R wrapper function get_regression_table() from the moderndive package. For model_1, the output is presented in Table 42.6.

get_regression_table(model_1)
Table 42.6: The regression table for this model
term estimate std_error statistic p_value lower_ci upper_ci
intercept 79.459 7.311 10.9 0 64.973 93.944
duration 0.371 0.032 11.4 0 0.307 0.435

Note that the first row in Table 42.6 addresses inferences for the intercept \(\beta_0\), and the second row deals with inference for the slope \(\beta_1\). The headers of the table present the information found for inference:

  • The estimate column contains the least-squares estimates, \(b_0\) (first row) and \(b_1\) (second row).
  • The std_error contains \(SE(b_0)\) and \(SE(b_1)\) (the standard errors for \(b_0\) and \(b_1\)), respectively. We defined these standard errors in Subsection 42.2.2.
  • The statistic column contains the \(t\)-test statistic for \(b_0\) (first row) and \(b_1\) (second row). If we focus on \(b_1\), the \(t\)-test statistic was constructed using the equation

\[ t = \frac{b_1 - 0}{SE(b_1)} = 11.594 \]

which corresponds to the hypotheses \(H_0: \beta_1 = 0\) versus \(H_A: \beta_1 \ne 0\).

  • The p_value is the probability of obtaining a test statistic just as extreme as or more extreme than the one observed, assuming the null hypothesis is true. For this hypothesis test, the \(t\)-test statistic was equal to 11.594 and, therefore, the \(p\)-value was near zero, suggesting rejection of the null hypothesis in favor of the alternative.
  • The values lower_ci and upper_ci are the lower and upper bounds of a 95% confidence interval for \(\beta_1\).

Please refer to previous subsections for the conceptual framework and a more detailed description of these quantities.

42.2.6 Model fit and model assumptions

I’ve introduced the linear model alongside assumptions about many of its elements and assumed all along that this is an appropriate representation of the relationship between the response and the explanatory variable. In real-life applications, it is uncertain whether the relationship is appropriately described by the linear model or whether all the assumptions we have introduced are satisfied.

Of course, we do not expect the linear model described in this chapter, or any other model, to be a perfect representation of a phenomenon presented in nature. Models are simplifications of reality in that they do not intend to represent exactly the relationship in question but rather provide useful approximations that help improve our understanding of this relationship. Furthermore, we want models that are as simple as possible and still capture relevant features of the natural phenomenon we are studying. This approach is known as the principle of parsimony or Occam’s razor.

But even with a simple model like a linear one, we still want to know if it accurately represents the relationship in the data. This is called model fit. In addition, we want to determine whether or not the model assumptions have been met.

There are four elements in the linear model we want to check. An acrostic is a composition in which certain letters from each piece form a word or words. To help you remember the four elements, we can use the LINE acrostic:

  1. Linearity of relationship between variables
    • Is the relationship between \(y_i\) and \(x_i\) truly linear for each \(i = 1, \dots, n\)? In other words, is the linear model \(y_i = \beta_0 + \beta_1 \cdot x_i + \epsilon_i\) a good fit?
  2. Independence of each of the response values \(y_i\)
    • Are \(y_i\) and \(y_j\) independent for any \(i \ne j\)?
  3. Normality of the error terms
    • Is the distribution of the error terms at least approximately normal?
  4. Equality or constancy of the variance for \(y_i\) (and for the error term \(\epsilon_i\))
    • Is the variance, or equivalently standard deviation, of the response \(y_i\) always the same, regardless of the fitted value (\(\widehat{y}_i\)) or the regressor value (\(x_i\))?

This can serve as a nice reminder of what to check when using linear regression. To check for Linearity, Normality, and Equal or constant variance, we use the residuals of the linear regression via residual diagnostics as we explain in the next subsection.To check for Independence we can use the residuals if the data was collected using a time sequence or other type of sequences. Otherwise, independence may be achieved by taking a random sample, which eliminates a sequential type of dependency.

Let’s start by reviewing how residuals are calculated; then, we’ll look at residual diagnostics via visualizations, use the example of the Old Faithful geyser eruptions to determine whether each of the four LINE elements are met, and discuss the implications.

Residuals

Recall that given a random sample of \(n\) pairs \((x_1, y_1), \dots, (x_n,y_n)\) the linear regression was given by:

\[\widehat{y}_i = b_0 + b_1 \cdot x_i\]

for all the observations \(i = 1, dots,n\). Recall that the residual as defined in Subsection 27.2.3, is the observed response minus the fitted value. If we denote the residuals with the letter \(e\) we get:

\[e_i = y_i - \widehat{y}_i\]

for \(i = 1, \dots, n\). Combining these two formulas we get

\[y_i = \underline{\widehat{y}_i} + e_i = \underline{b_0 + b_1 \cdot x_i} + e_i\]

The resulting formula looks very similar to our linear model:

\[y_i = \beta_0 + \beta_1 \cdot x_i + \epsilon_i\]

In this context, residuals can be thought of as rough estimates of the error terms. Since many of the assumptions of the linear model are related to the error terms, we can check these assumptions by studying the residuals.

In Figure 42.5, we can see one particular residual for the Old Faithful geyser eruption where duration time is the explanatory variable and waiting time is the response. There is an arrow to connect the observed waiting time (a circle) with the fitted waiting time (a square). The vertical distance between these two points (or equivalently, the magnitude of the arrow) is the value of the residual for this observation.

Example of observed value, fitted value, and residual.

Figure 42.5: Example of observed value, fitted value, and residual.

We can calculate all the \(n = 114\) residuals by applying the get_regression_points() function to the regression model model_1. Observe how the resulting values of residual are roughly equal to waiting - waiting_hat (there may be a slight difference due to rounding error).

# Fit regression model:
model_1 <- lm(waiting ~ duration, data = old_faithful_2024)
# Get regression points:
fitted_and_residuals <- get_regression_points(model_1)
fitted_and_residuals
# A tibble: 114 × 5
      ID waiting duration waiting_hat residual
   <int>   <dbl>    <dbl>       <dbl>    <dbl>
 1     1     180      235     166.666   13.334
 2     2     184      259     175.572    8.428
 3     3     116      137     130.299  -14.299
 4     4     188      222     161.842   26.158
 5     5     106      105     118.424  -12.424
 6     6     187      180     146.256   40.744
 7     7     182      244     170.006   11.994
 8     8     190      278     182.623    7.377
 9     9     138      249     171.861  -33.861
10    10     186      262     176.686    9.314
# ℹ 104 more rows

Residual diagnostics

Residual diagnostics are used to verify conditions L, N, and E. While there are more sophisticated statistical approaches that can be used, we’ll focus here on data visualization. One of the most useful plots is a residual plot, which is a scatterplot of the residuals against the fitted values. We use the fitted_and_residuals object to draw the scatterplot using geom_point() with the fitted values (waiting_hat) on the x-axis and the residuals (residual) on the y-axis. In addition, we add titles to our axes with labs() and draw a horizontal line at 0 for reference using geom_hline() and yintercept = 0, as shown in the following code:

ggplot(fitted_and_residuals, aes(x = waiting_hat, y = residual)) +
  geom_point() +
  labs(x = "duration", y = "residual") +
  geom_hline(yintercept = 0, col = "blue")

In Figure 42.6 we can see this residual plot (right plot) alongside the scatterplot for duration vs waiting (left plot). Note how the residuals on the left plot are determined by the vertical distance between the observed response and the linear regression. On the right plot (residuals), I’ve removed the effect of the linear regression, and the effect of the residuals is seen as the vertical distance from each point to the zero line (y-axis). Using this residuals plot, it is easier to spot patterns or trends that may be in conflict with the assumptions of the model, as we describe next.

The scatterplot and residual plot for the Old Faithful data.

Figure 42.6: The scatterplot and residual plot for the Old Faithful data.

In what follows we’ll see how the residual plot can be used to determine whether the linear model assumptions are met.

Linearity of relationship

We want to check whether the association between the response \(y_i\) and the explanatory variable \(x_i\) is Linear. We expect, due to the error term in the model, that the scatterplot of residuals against fitted values shows some random variation, but the variation should not be systematic in any direction and the trend should not show non-linear patterns.

A scatterplot of residuals against fitted values showing no patterns but simply a cloud of points that seems randomly assigned in every direction with the residuals’ variation (y-axis) about the same for any fitted values (x-axis) and with points located as much above as below the zero line is called a null plot. Plots of residuals against fitted values or regressors that are null plots do not show any evidence against the assumptions of the model. In other words, if we want our linear model to be adequate, we hope to see null plots when plotting residuals against fitted values.

This is largely the case for the Old Faithful geyser example with the residuals against the fitted values (waiting_hat) shown in the right-plot of Figure 42.6. The residual plot is not a null plot as it appears there are some clusters of points as opposed to a complete random assignment, but there are not clear systematic trends in any direction or the appearance of a non-linear relationship. So, based on this plot, we believe that the data does not violate the assumption of linearity.

By contrast, assume now that the scatterplot of waiting against duration and its associated residual plot are shown in Figure 42.7. (These are simulated data, not the real thing.) A quick look at the scatterplot and regression line (left plot) could lead us to believe that the regression line is an appropriate summary of the relationship. But if we look carefully, you may notice that the residuals for low values of duration are mostly below the regression line, residuals for values in the middle range of duration are mostly above the regression line, and residuals for large values of duration are again below the regression line.

This is the reason we prefer to use plots of residuals against fitted values (right plot) as we have removed the effect of the regression and can focus entirely on the residuals. The points clearly do not form a line, but rather a U-shaped polynomial curve. If this was the real data observed, using the linear regression with these data would produce results that are not valid or adequate.

Example of a non-linear relationship.

Figure 42.7: Example of a non-linear relationship.

Independence of the error terms and the response

Another assumption we want to check is the Independence of the response values. If they are not independent, some patterns of dependency may appear in the observed data.

The residuals could be used for this purpose too as they are a rough approximation of the error terms. If data was collected in a time sequence or other type of sequence, the residuals may also help us determine lack of independence by plotting the residuals against time. As it happens, the Old Faithful geyser eruption example does have a time component we can use: the old_faithful_2024 dataset contains the date variable. We show the plot of residuals against date (time) in Figure 42.8:

Scatterplot of date (time) vs residuals for the Old Faithful example.

Figure 42.8: Scatterplot of date (time) vs residuals for the Old Faithful example.

The plot of residuals against time (date) seems to be a null plot. Based on this plot, we could say that the residuals do not exhibit any evidence of dependency.

Now, the observations in this dataset are only a subset of all the Old Faithful geyser eruptions that happen during this time frame, and most or all of them are eruptions that do not happened sequentially, one after the next. Each observation in this dataset represents a unique eruption of Old Faithful, with waiting times and duration recorded separately for each event. Since these eruptions occur independently of one another, the residuals derived from the regression of waiting versus duration are also expected to be independent. As discussed in Subsection 42.1.3, we can consider this a random sample.

In this case, the assumption of independence seems acceptable. Note that the old_faithful_2024 data do not involve repeated measurements or grouped observations that could lead to dependency issues. Therefore, we can proceed with trusting the regression analysis as we believe that the error terms are not systematically related to one another. While determining lack of independence may not be easy in certain settings, in particular if no time sequence or other sequence measurements are involved, taking a random sample is the golden standard.

Normality of the error terms

The third assumption we want to check is whether the error terms follow Normal distributions with expected value equal to zero. Using the residuals as a rough estimate of the error term values, we have seen in the right plot of Figure 42.6 that sometimes the residuals are positive and other times negative. We want to see if, on average, the errors equal zero and the shape of their distribution approximate a bell shaped curve.

We can use a histogram to visualize the distribution of the residuals:

ggplot(fitted_and_residuals, aes(residual)) +
  geom_histogram(binwidth = 10, color = "white")

We can also use a quantile-to-quantile plot or QQ-plot. The QQ-plot creates a scatterplot of the quantiles (or percentiles) of the residuals against the quantiles of a normal distribution. If the residuals follow approximately a normal distribution, the scatterplot would be a straight line of 45 degrees. To draw a QQ-plot for the Old Faithful geyser eruptions example, we can use the fitted_and_residuals data frame that contains the residuals of the regression, ggplot() with aes(sample = residual) and the geom_qq() function for drawing the QQ-plot. We’ll also include the function geom_qq_line() to add a 45-degree line for comparison:

fitted_and_residuals |>
  ggplot(aes(sample = residual)) +
  geom_qq() +
  geom_qq_line()

In Figure 42.9 we can see both the histogram of the residuals including a normal curve for comparison (left plot) and a QQ-plot (right plot):

Histogram of residuals.

Figure 42.9: Histogram of residuals.

The histogram of the residuals shown in Figure 42.9 (left plot) does not appear exactly normal as there are some deviations, such as the highest bin value appearing just to the right of the center. But the histogram does not seem too far from normality either. The QQ-plot (right plot) supports this conclusion: The scatterplot is not exactly on the 45-degree line but it does not deviate much from it either.

Let’s compare these results with residuals found by simulation that do not appear to follow normality as shown in Figure 42.10. In this case of the model yielding the clearly non-normal residuals on the right, any results from an inference for regression would not be valid.

Non-normal residuals.

Figure 42.10: Non-normal residuals.

Equality or constancy of variance for errors

The final assumption we check is the Equality or constancy of the variance for the error term across all fitted values or regressor values. Constancy of variance is also known as homoskedasticity. Using the residuals again as rough estimates of the error terms, we want to check that the dispersion of the residuals is the same for any fitted value \(\widehat{y}_i\) or regressor \(x_i\). In Figure 42.6, we showed the scatterplot of residuals against fitted values (right plot). We can also produce the scatterplot of residuals against the regressor duration in Figure 42.11:

ggplot(fitted_and_residuals, aes(x = duration, y = residual)) +
  geom_point(alpha = 0.6) +
  labs(x = "duration", y = "residual") +
  geom_hline(yintercept = 0)
Plot of residuals against the regressor.

Figure 42.11: Plot of residuals against the regressor.

With the exception of the change of scale on the x-axis, it is equivalent (for visualization purposes) to producing a plot of residuals (\(e_i\)) against either the fitted values (\(\widehat{y}_i\)) or the regressor values (\(x_i\)). This happens because the fitted values are a linear transformation of the regressor values, \(\widehat{y}_i = b_0 + b_1\cdot x_i\).

Observe the vertical dispersion or spread of the residuals for different values of duration:

  • For duration values between 100 and 150 seconds, the residual values are somewhere between -25 and 40, a spread of about 65 units.
  • For duration values between 150 and 200 seconds, there are only a handful of observations and it is not clear what the spread is.
  • For duration values between 200 and 250 seconds, the residual values are somewhere between -37 and 32, a spread of about 69 units.
  • For duration values between 250 and 300 seconds, the residual values are somewhere between -42 and 27, a spread of about 69 units.

The spread is not exactly constant across all values of duration. It seems to be slightly higher for greater values of duration, but there seems to be a larger number of observations for higher values of duration as well. Observe also that there are two or three cluster of points and the dispersion of residuals is not completely uniform. While the residual plot is not exactly a null plot, there is not clear evidence against the assumption of homoskedasticity.

We are not surprised to see plots such as this one when dealing with real data. It is possible that the residual plot is not exactly a null plot, because there may be some information we are missing that could improve our model. For example, we could include another regressor in our model. Do not forget that we are using a linear model to approximate the relationship between duration and waiting times, and we do not expect the model to perfectly describe this relationship. When you look at these plots, you are trying to find clear evidence of the data not meeting the assumptions used. This example does not appear to violate the constant variance assumption.

In Figure 42.12, we can see an example using simulated data with non-constant variance.

Example of clearly non-equal variance.

Figure 42.12: Example of clearly non-equal variance.

Observe how the spread of the residuals increases as the regressor value increases. Lack of constant variance is also known as heteroskedasticity. When heteroskedasticity is present, some of the results such as the standard error of the least-square estimators, confidence intervals, or the conclusion for a related hypothesis test would not be valid.

What is the conclusion?

We did not find conclusive evidence against any of the assumptions of the model:

  1. Linearity of relationship between variables
  2. Independence of the error terms
  3. Normality of the error terms
  4. Equality or constancy of the variance

However, this does not mean that our model was perfectly adequate. For example, the residual plot was not a null plot and had some clusters of points that cannot be explained by the model. Overall, though, there were no trends that could be considered clear violations of the assumptions and the conclusions we get from this model may be valid.

What do we do when the assumptions are not met?

When there are clear violations of the assumptions in the model, all the results found may be suspect. In addition, there may be some remedial measures that can be taken to improve the model. None of these measures will be addressed here in depth as this material extends beyond the scope of this book, but let’s briefly discuss potential solutions for future reference.

When the Linearity of the relationship between variables is not met, a simple transformation of the regressor, the response, or both variables may solve the problem. An example of such a transformation is given in Appendix A online. If not, alternative methods such as spline regression, generalized linear models, or non-linear models may be used to address these situations. When additional regressors are available, including other regressors as in multiple linear regression may produce better results.

If the Independence assumption is not met, but the dependency is established by a variable within the data at hand, linear mixed-effects models can also be used. These models may also be referred to as hierarchical or multilevel models.

Small departures of the Normality of the error terms assumption are not too concerning and most of the results, including those related to confidence intervals and hypothesis tests, may still be valid. On the other hand, when the number of violations to the normality assumption is large, many of the results may no longer be valid. Using the advanced methods suggested earlier here may correct these problems too.

When the Equality or constancy of the variance is not met, adjusting the variance by adding weights to individual observations may be possible if relevant information is available that makes those weights known. This method is called weighted linear regression or weighted least squares, and it is a direct extension of the model we have studied. If information of the weights is not available, some methods can be used to provide an estimator for the internal structure of the variance in the model. One of the most popular of these methods is called the sandwich estimator.

Checking that the assumptions of the model are satisfied is a key component of regression analysis. Constructing and interpreting confidence intervals as well as conducting hypothesis tests and providing conclusions from the results of hypothesis tests are directly affected by whether or not assumptions are satisfied. At the same time, it is often the case with regression analysis that a level of subjectivity when visualizing and interpreting plots is present, and sometimes we are faced with difficult statistical decisions.

So what can be done? We suggest transparency and clarity in communicating results. It is important to highlight important elements that may suggest departures from relevant assumptions, and then provide pertinent conclusions. In this way, the stakeholders of any analysis are aware of the model’s shortcomings and can decide whether or not to agree with the conclusions presented to them.

42.3 Simulation-based inference for simple linear regression

In this section, we’ll use the simulation-based methods we previously covered to recreate the values in the regression table. In particular, we’ll use the infer package workflow to

  • Construct a 95% confidence interval for the population slope \(\beta_1\) using bootstrap resampling with replacement. We did this previously in Sections 36.2.2 with the almonds data and 36.3 with the mythbusters_yawn data.
  • Conduct a hypothesis test of \(H_0: \beta_1 = 0\) versus \(H_A: \beta_1 \neq 0\) using a permutation test. We did this previously in Sections 39.4 with the spotify_sample data and 39.6 with the movies_sample IMDb data.

42.3.1 Confidence intervals for the population slope using infer

We’ll construct a 95% confidence interval for \(\beta_1\) using the infer workflow outlined in Subsection 36.2.3. Specifically, we’ll first construct the bootstrap distribution for the fitted slope \(b_1\) using our single sample of 114 eruptions:

  1. specify() the variables of interest in old_faithful_2024 with the formula: waiting ~ duration.
  2. generate() replicates by using bootstrap resampling with replacement from the original sample of 114 courses. We generate reps = 1000 replicates using type = "bootstrap".
  3. calculate() the summary statistic of interest: the fitted slope \(b_1\).

Using this bootstrap distribution, we’ll construct the 95% confidence interval using the percentile method and (if appropriate) the standard error method as well. It is important to note in this case that the bootstrapping with replacement is done row-by-row. Thus, the original pairs of waiting and duration values are always kept together, but different pairs of waiting and duration values may be resampled multiple times. The resulting confidence interval will denote a range of plausible values for the unknown population slope \(\beta_1\) quantifying the relationship between waiting times and duration for Old Faithful eruptions.

Let’s first construct the bootstrap distribution for the fitted slope \(b_1\):

bootstrap_distn_slope <- old_faithful_2024 |> 
  specify(formula = waiting ~ duration) |>
  generate(reps = 1000, type = "bootstrap") |> 
  calculate(stat = "slope")
bootstrap_distn_slope
Response: waiting (numeric)
Explanatory: duration (numeric)
# A tibble: 1,000 × 2
   replicate     stat
       <int>    <dbl>
 1         1 0.334197
 2         2 0.331819
 3         3 0.385334
 4         4 0.380571
 5         5 0.369226
 6         6 0.370921
 7         7 0.337145
 8         8 0.417517
 9         9 0.343136
10        10 0.359239
# ℹ 990 more rows

Observe how we have 1000 values of the bootstrapped slope \(b_1\) in the stat column. Let’s visualize the 1000 bootstrapped values in Figure 42.13.

visualize(bootstrap_distn_slope)
Bootstrap distribution of slope.

Figure 42.13: Bootstrap distribution of slope.

Observe how the bootstrap distribution is roughly bell-shaped. Recall from Subsection 36.2.1 that the shape of the bootstrap distribution of \(b_1\) closely approximates the shape of the sampling distribution of \(b_1\).

Percentile-method

First, let’s compute the 95% confidence interval for \(\beta_1\) using the percentile method. We’ll do so by identifying the 2.5th and 97.5th percentiles which include the middle 95% of values. Recall that this method does not require the bootstrap distribution to be normally shaped.

percentile_ci <- bootstrap_distn_slope |> 
  get_confidence_interval(type = "percentile", level = 0.95)
percentile_ci
# A tibble: 1 × 2
  lower_ci upper_ci
     <dbl>    <dbl>
1 0.309088 0.425198

The resulting percentile-based 95% confidence interval for \(\beta_1\) of (0.309, 0.425).

Standard error method

Since the bootstrap distribution in Figure 42.13 appears to be roughly bell-shaped, we can also construct a 95% confidence interval for \(\beta_1\) using the standard error method.

In order to do this, we need to first compute the fitted slope \(b_1\), which will act as the center of our standard error-based confidence interval. While we saw in the regression table in Table 42.6 that this was \(b_1\) = 0.371, we can also use the infer pipeline with the generate() step removed to calculate it:

observed_slope <- old_faithful_2024 |> 
  specify(waiting ~ duration) |> 
  calculate(stat = "slope")
observed_slope
Response: waiting (numeric)
Explanatory: duration (numeric)
# A tibble: 1 × 1
      stat
     <dbl>
1 0.371095

We then use the get_ci() function with level = 0.95 to compute the 95% confidence interval for \(\beta_1\). Note that setting the point_estimate argument to the observed_slope of 0.371 sets the center of the confidence interval.

se_ci <- bootstrap_distn_slope |> 
  get_ci(level = 0.95, type = "se", point_estimate = observed_slope)
se_ci
# A tibble: 1 × 2
  lower_ci upper_ci
     <dbl>    <dbl>
1 0.311278 0.430912

The resulting standard error-based 95% confidence interval for \(\beta_1\) of \((0.311, 0.431)\) is slightly different than the percentile-based confidence interval. Note that neither of these confidence intervals contains 0 and that both are entirely located above 0. This is suggesting that there is in fact a meaningful positive relationship between waiting times and duration for Old Faithful eruptions.

42.3.2 Hypothesis test for population slope using infer

Let’s now conduct a hypothesis test of \(H_0: \beta_1 = 0\) vs. \(H_A: \beta_1 \neq 0\). We will use the infer package, which follows the hypothesis testing paradigm in the “There is only one test” diagram in Figure 39.11.

Let’s first think about what it means for \(\beta_1\) to be zero as assumed in the null hypothesis \(H_0\). Recall we said if \(\beta_1 = 0\), then this is saying there is no relationship between the waiting time and duration. Thus, assuming this particular null hypothesis \(H_0\) means that in our “hypothesized universe” there is no relationship between waiting and duration. We can therefore shuffle/permute the waiting variable to no consequence.

We’ll construct the null distribution of the fitted slope \(b_1\) by performing the steps that follow. Recall from Section 39.3 on terminology, notation, and definitions related to hypothesis testing where we defined the null distribution: the sampling distribution of our test statistic \(b_1\) assuming the null hypothesis \(H_0\) is true.

  1. specify() the variables of interest in old_faithful_2024 with the formula: waiting ~ duration.
  2. hypothesize() the null hypothesis of independence. Recall from Section 39.4 that this is an additional step that needs to be added for hypothesis testing.
  3. generate() replicates by permuting/shuffling values from the original sample of 114 eruptions. We generate reps = 1000 replicates using type = "permute" here.
  4. calculate() the test statistic of interest: the fitted slope \(b_1\).

In this case, we permute the values of waiting across the values of duration 1000 times. We can do this shuffling/permuting since we assumed a “hypothesized universe” of no relationship between these two variables. Then we calculate the "slope" coefficient for each of these 1000 generated samples.

null_distn_slope <- old_faithful_2024 |> 
  specify(waiting ~ duration) |>
  hypothesize(null = "independence") |> 
  generate(reps = 1000, type = "permute") |> 
  calculate(stat = "slope")

Observe the resulting null distribution for the fitted slope \(b_1\) in Figure 42.14.

Null distribution of slopes.

Figure 42.14: Null distribution of slopes.

Notice how it is centered at \(b_1\) = 0. This is because in our hypothesized universe, there is no relationship between waiting and duration and so \(\beta_1 = 0\). Thus, the most typical fitted slope \(b_1\) we observe across our simulations is 0. Observe, furthermore, how there is variation around this central value of 0.

# Observed slope
b1 <- old_faithful_2024 |> 
  specify(waiting ~ duration) |>
  calculate(stat = "slope")
b1
Response: waiting (numeric)
Explanatory: duration (numeric)
# A tibble: 1 × 1
      stat
     <dbl>
1 0.371095

Let’s visualize the \(p\)-value in the null distribution by comparing it to the observed test statistic of \(b_1\) = 0.371 in Figure 42.15. We’ll do this by adding a shade_p_value() layer to the previous visualize() code.

Null distribution and $p$-value.

Figure 42.15: Null distribution and \(p\)-value.

Since the observed fitted slope 0.371 falls far to the right of this null distribution and thus the shaded region doesn’t overlap it, we’ll have a \(p\)-value of 0. For completeness, however, let’s compute the numerical value of the \(p\)-value anyways using the get_p_value() function. Recall that it takes the same inputs as the shade_p_value() function:

null_distn_slope |> 
  get_p_value(obs_stat = b1, direction = "both")
# A tibble: 1 × 1
  p_value
    <dbl>
1       0

This matches the \(p\)-value of 0 in the regression table. We therefore reject the null hypothesis \(H_0: \beta_1 = 0\) in favor of the alternative hypothesis \(H_A: \beta_1 \neq 0\). We thus have evidence that suggests there is a significant relationship between waiting time and duration values for eruptions of Old Faithful.

When the conditions for inference for regression are met and the null distribution has a bell shape, we are likely to see similar results between the simulation-based results we just demonstrated and the theory-based results shown in the regression table.

42.4 The multiple linear regression model

42.4.1 The model

We’ll next discuss the extension from a simple to a multiple regression model. We assume that a population has a response variable (\(Y\)) and two or more explanatory variables (\(X_1, X_2, \dots, X_p\)) with \(p \ge 2\). The statistical linear relationship between these variables is given by

\[Y = \beta_0 + \beta_1 \cdot X_1 + \dots + \beta_p X_p + \epsilon\]

where \(\beta_0\) is the population intercept and \(\beta_j\) is the population partial slope related to regressor \(X_j\). The error term \(\epsilon\) accounts for the portion of \(Y\) that is not explained by the line. As in the simple case, we assume that the expected value is \(E(\epsilon) = 0\), the standard deviation is \(SD(\epsilon) = \sigma\), and the variance is \(Var(\epsilon) = \sigma^2\). The variance and standard deviation are constant regardless of the value of \(X_1, X_2, \dots, X_p\). If you were to take a large number of observations from this population, we’d expect the error terms sometimes to be greater than zero and other times less than zero, but on average equal to zero, give or take \(\sigma\) units away from zero.

42.4.2 Example: coffee quality rating scores

As in the case of simple linear regression we use a random sample to estimate the parameters in the population. To illustrate these methods, we use the coffee_quality data frame from the moderndive package. This dataset from the Coffee Quality Institute contains information about coffee rating scores based on ten different attributes: aroma, flavor, aftertaste, acidity, body, balance, uniformity, clean_cup, sweetness, and overall. In addition, the data frame contains other information such as the moisture_percentage and the coffee’s country and continent_of_origin. We can assume that this is a random sample.

We plan to regress total_cup_points (response variable) on the numerical explanatory variables aroma, flavor, and moisture_percentage and the categorical explanatory variable with four categories; Africa, Asia, North America, and South America. Before proceeding, we construct a new data frame called coffee_data by keeping the variables of interest. In addition, the variable continent_of_origin has been read into R with type character, and we want to make it type factor. We do this by using dplyr verbs and including the command as.factor() inside mutate() to make continent_of_origin a factor with the ordering of "Africa", "Asia", "North America", and "South America".

coffee_data <- coffee_quality |>
  select(aroma, 
         flavor, 
         moisture_percentage, 
         continent_of_origin, 
         total_cup_points) |>
  mutate(continent_of_origin = as.factor(continent_of_origin))

Here are the first ten rows of coffee_data:

coffee_data
# A tibble: 207 × 5
   aroma flavor moisture_percentage continent_of_origin total_cup_points
   <dbl>  <dbl>               <dbl> <fct>                          <dbl>
 1  8.58   8.5                 11.8 South America                  89.33
 2  8.5    8.5                 10.5 Asia                           87.58
 3  8.33   8.42                10.4 Asia                           87.42
 4  8.08   8.17                11.8 North America                  87.17
 5  8.33   8.33                11.6 South America                  87.08
 6  8.33   8.33                10.7 North America                  87   
 7  8.33   8.17                 9.1 Asia                           86.92
 8  8.25   8.25                10   Asia                           86.75
 9  8.08   8.08                10.8 Asia                           86.67
10  8.08   8.17                11   Africa                         86.5 
# ℹ 197 more rows

By looking at the fourth row, we can tell, for example, that the total_cup_points are 87.17 with aroma score equal to 8.08 points, flavor score equal to 8.17 points, moisture_percentage equal to 11.8%, and North America is the country_of_origin. We can also see a summary for these variables in Table 42.7:

coffee_data |>
  tidy_summary()
Table 42.7: Summary of coffee data
column n group type min Q1 mean median Q3 max sd
aroma 207 numeric 6.50 7.58 7.72 7.67 7.92 8.58 0.288
flavor 207 numeric 6.75 7.58 7.75 7.75 7.92 8.50 0.280
moisture_percentage 207 numeric 0.00 10.10 10.73 10.80 11.50 13.50 1.247
total_cup_points 207 numeric 78.00 82.58 83.71 83.75 84.83 89.33 1.730
continent_of_origin 23 Africa factor
continent_of_origin 84 Asia factor
continent_of_origin 67 North America factor
continent_of_origin 33 South America factor

Observe that we have a sample of 207 observations, the total_cup_points ranges from 6.5 to 8.58, the average aroma score was 7.745, and the median flavor score was 10.8. Note that each observation is composed of \(p+1\) values: the values for the explanatory variables \((X_1, \dots, X_p)\) and the value for the response (\(Y\)). The sample takes the form:

\[\begin{array}{c} (x_{11}, x_{12},\dots, x_{1p}, y_1)\\ (x_{21}, x_{22},\dots, x_{2p}, y_2)\\ \vdots\\ (x_{n1}, x_{n2},\dots, x_{np}, y_n)\\ \end{array}\]

where \((x_{i1}, x_{i2},\dots, x_{ip}, y_i)\) are the values of the \(i\)th observation in the sample for \(i=1\), \(\dots\), \(n\). Using this notation, for example, \(x_{i2}\) is the value of the \(i\)th observation in the data for the second explanatory variable \(X_2\). In the coffee example \(n = 207\) and the value of the second explanatory variable (flavor) for the 4th observation is \(x_{42} = 11.8\).

We can now create data visualizations. When performing multiple regression it is useful to construct a scatterplot matrix, a matrix that contains the scatterplots for all the variable pair combinations. In R, we can use the function ggpairs() from package GGally to generate a scatterplot matrix and some useful additional information. In Figure 42.16, we present the scatterplot matrix for all the variables of interest.

coffee_data |>
  ggpairs()
Scatterplot matrix for coffee variables of interest.

Figure 42.16: Scatterplot matrix for coffee variables of interest.

Let’s first consider the plots with the response (total_cup_points) on the vertical axis. They are located in the last row of plots in the figure. When plotting total_cup_points against aroma (bottom row, leftmost plot) or total_cup_points against flavor (bottom row, second plot from the left), we observe a strong and positive linear relationship. The plot of total_cup_points against moisture_percentage (bottom row, third plot from the left) does not provide much information and it appears that these variables are not associated in any way, but we observe an outlying observation for moisture_percentage around zero. The plot of total_cup_points versus continent_of_origin (bottom row, fourth plot from the left) shows four histograms, one for each factor level; the fourth group seems to have a larger dispersion, even though the number of observations seems smaller. The associated boxplots connecting these two variables (fourth row, rightmost plot) suggest that the first level of the factor ("Africa") has a higher mean cup points than the other three. It is often useful to also find any linear associations between numerical regressors as is the case for the scatterplot for aroma against flavor which suggests a strong positive linear association. By contrast, almost no relationship can be found when observing moisture_percentage against either aroma or flavor.

The function ggpairs() not only produces these plots, but includes the correlation coefficient for any pair of numerical variables. In this example, the correlation coefficients support the findings from using the scatterplot matrix. The correlations between total_cup_points and aroma (0.87) and total_cup_points and flavor (0.94) are positive and close to one, suggesting a strong positive linear association. Recall that the correlation coefficient is relevant if the association is approximately linear. The correlation between moisture_percentage and any other variable is close to zero, suggesting that moisture_percentage is likely not linearly associated with any other variable (either response or regressor). Note also that the correlation between aroma and flavor (0.82) supports our conclusion of a strong positive association.

42.4.3 Least squares for multiple regression

Observe that we have three numerical regressors and one factor (continent_of_origin) with four levels: "Africa", "Asia", "North America", and "South America". To introduce the factor levels in the linear model, we represent the factor levels using dummy variables as described in Subsection 30.1.2. These are the dummy variables that we need:

\[\begin{aligned} D_1 &= \left\{ \begin{array}{ll} 1 & \text{if the continent of origin is Africa} \phantom{afdasfd} \\ 0 & \text{otherwise}\end{array} \right.\\ D_2 &= \left\{ \begin{array}{ll} 1 & \text{if the continent of origin is Asia}\phantom{asdfasdfa} \\ 0 & \text{otherwise}\end{array} \right.\\ D_3 &= \left\{ \begin{array}{ll} 1 & \text{if the continent of origin is North America}\phantom{} \\ 0 & \text{otherwise}\end{array} \right.\\ D_4 &= \left\{ \begin{array}{ll} 1 & \text{if the continent of origin is South America} \phantom{}\\ 0 & \text{otherwise}\end{array} \right.\\ \end{aligned}\]

Recall also that we’ll drop the first level since this level will be accounted for by the intercept in the model. As we did in the simple linear case, we’ll assume that linearity between the response and the regressors holds and apply the linear model described in Subsection 42.4.1 to each observation in the sample. If we express the model in terms of the \(i\)th observation, we get

\[ y_i = \beta_0 + \beta_1 x_{i1} + \beta_2 x_{i2} + \beta_3 x_{i3} + \beta_{02}D_{i2} + \beta_{03}D_{i3} + \beta_{04}D_{i4} + \epsilon_i \]

where, for the \(i\)th observation in the sample, \(x_{i1}\) represents the aroma score, \(x_{i2}\) the flavor score, \(x_{i3}\) the moisture_percentage, \(D_{i2}\) the dummy variable for Asia, \(D_{i3}\) the dummy variable for North America, and \(D_{i4}\) the dummy variable for South America. Recall that \(i\) is the subscript that represents any one observation in the sample. Alternatively, we could present the model for all the observations:

\[\begin{aligned} y_1 &= \beta_0 + \beta_1 x_{11} + \beta_2 x_{12} + \beta_3 x_{13}+ \beta_{02}D_{12} + \beta_{03}D_{13} + \beta_{04}D_{14} + \epsilon_1\\ y_2 &= \beta_0 + \beta_1 x_{21} + \beta_2 x_{22} + \beta_3 x_{23}+ \beta_{02}D_{22} + \beta_{03}D_{23} + \beta_{04}D_{24} + \epsilon_2\\ & \phantom{ a}\vdots \\ y_n &= \beta_0 + \beta_1 x_{n1} + \beta_2 x_{n2} + \beta_3 x_{n3}+ \beta_{02}D_{n2} + \beta_{03}D_{n3} + \beta_{04}D_{n4} + \epsilon_n \end{aligned}\]

The extension of the least-squares method applied to multiple regression follows. We want to retrieve the coefficient estimators that minimize the sum of squared residuals:

\[\sum_{i=1}^n \left[y_i - (\beta_0 + \beta_1 x_{i1} + \beta_2 x_{i2} + \beta_3 x_{i3}+ \beta_{02}D_{i2} + \beta_{03}D_{i3} + \beta_{04}D_{i4} )\right]^2.\]

This optimization problem is similar to the simple linear case, and it is solved using calculus. We have more equations to deal with now; seven equations in our coffee example, each connected with the coefficient estimators that need to be estimated. The solutions to this problem are reached by using matrices and matrix calculus, and are the regression coefficients when we discussed multiple regression. They are called the least-squares estimators: \(b_0\) is the least-square estimator of \(\beta_0\), \(b_1\) is the least-square estimator of \(\beta_1\), etc.

The fitted values, residuals, estimator of the variance (\(s^2\)), and standard deviation (\(s\)), are direct extensions to the simple linear case. In the general case, with \(p\) regressors, the fitted values are

\[\widehat{y}_i = b_0 + b_1 x_{i1} + b_2 x_{i2} + \dots + b_p x_{ip},\]

the residuals are \(e_i = y_i - \widehat{y}_i\), and the model variance estimator is

\[ s^2 = \frac{\sum_{i=1}^n \left(y_i - \widehat{y}_i\right)^2}{n-p} \]

where \(p\) is the number of coefficients. When applying these formulas to the coffee scores example, the fitted values are

\[\widehat{y}_i = b_0 + b_1 x_{i1} + b_2 x_{i2} + b_3 x_{i3}+ b_{02}D_{i2} + b_{03}D_{i3} + b_{04}D_{i4}\,\,,\]

the variance estimator is

\[\begin{aligned} s^2 &= \frac{\sum_{i=1}^n \left[y_i - (b_0 + b_1 x_{i1} + b_2 x_{i2} + b_3 x_{i3}+ b_{02}D_{i2} + b_{03}D_{i3} + b_{04}D_{i4} )\right]^2}{n-7}\\ &= \frac{\sum_{i=1}^n \left(y_i - \widehat{y}_i\right)^2}{n-7}, \end{aligned}\]

and the standard deviation estimator is

\[ s = \sqrt{\frac{\sum_{i=1}^n \left(y_i - \widehat{y}_i\right)^2}{n-7}}. \]

When we think about the least-square estimators as random variables that depend on the random sample taken, the properties of these estimators are a direct extension of the properties presented for the simple linear case:

  • The least-square estimators are unbiased estimators of the parameters of the model. For example, if we choose \(\beta_1\) (the estimator for the partial slope for aroma), then the expected value is equal to the parameter, \(E(b_1) = \beta_1\). This means that for some random samples the estimated value \(b_1\) will be greater than \(\beta_1\), and for others less than \(\beta_1\); but, on average, \(b_1\) will be equal to \(\beta_1\).
  • The least-square estimators are linear combinations of the observed responses \(y_1\), \(y_2\), \(\dots\), \(y_n\). For \(b_3\), for example, there are known constants \(c_1\), \(c_2\), \(\dots\), \(c_n\) such that \(b_1 = \sum_{i=1}^n c_iy_i\).

When using the lm() function, all the necessary calculations are done in R. In Table 42.8, for the coffee example, we get:

# Fit regression model:
mod_mult <- lm(
  total_cup_points ~ aroma + flavor + moisture_percentage + continent_of_origin, 
  data = coffee_data
)

# Get the coefficients of the model
coef(mod_mult)

# Get the standard deviation of the model
sigma(mod_mult)
Table 42.8: Coffee example linear regression coefficients
Coefficients Values
(Intercept) b0 37.321
aroma b1 1.732
flavor b2 4.316
moisture_percentage b3 -0.008
continent_of_originAsia b02 -0.393
continent_of_originNorth America b03 -0.273
continent_of_originSouth America b04 -0.478
s 0.507

If the linear model is appropriate, we can interpret these coefficients as we did in Subsections 30.1.2 and 30.2.2. Recall that the numerical regressors’ coefficients (\(b_1\), \(b_2\), and \(b_3\)) are partial slopes, each representing the extra effect (or additional effect) of increasing the corresponding regressor by one unit while keeping all the other regressors fixed to some value. For example, using mod_mult, if for a given observation we increase the flavor score by one unit, keeping all the other regressors fixed to some level, the total_cup_points would increase by 4.32 units, on average. This interpretation is only valid for the linear regression model mod_mult. If we decide to change the regressors used, add some or remove others, the model changes and the partial slope for flavor will be different in magnitude and in meaning; do not forget that the partial slope is the additional contribution of flavor when added to a model that includes all the other regressors for that particular model.

In addition, observe that mod_mult is a model without interactions, similar to the model described in Subsection 30.1.3. The coefficients for factor levels of continent_of_origin (\(b_{02}\), \(b_{03}\), and \(b_{04}\)) affect only the intercept of the model, based on the category of the observation in question. Recall that the factor levels, in order, are Africa, Asia, North America, and South America. For example, if the fifth observation’s continent of origin is South America (\(D_{04} = 1\) and \(D_{02} = D_{03} = 0\)), the regression formula is given by

\[\begin{aligned} \widehat{y}_5 &= b_0 + b_1 x_{51} + b_2 x_{52} + b_3 x_{53}+ b_{02}D_{52} + b_{03}D_{53} + b_{04}D_{54}\\ &= b_0 + b_1 x_{51} + b_2 x_{52} + b_3 x_{53}+ b_{02}\cdot 0 + b_{03}\cdot 0 + b_{04}\cdot 1\\ &= (b_0 + b_{04}) + b_1 x_{51} + b_2 x_{52} + b_3 x_{53}\\ \end{aligned}\]

and the regression intercept for this observation is estimated to be

\[b_0 + b_{04} = 37.32 + (-0.48) = 36.84.\]

We typically do not expect the scores of all regressors to be zero, but you can always check the range of values that your regressors take. For mod_mult the range of regressors can be extracted by using tidy_summary(). In the following code, using the coffee_data dataset, we select the numerical regressors, use tidy_summary(), and select column name, min, and max to get the range for all regressors

coffee_data |>
  select(aroma, flavor, moisture_percentage) |>
  tidy_summary() |>
  select(column, min, max)
column min max
aroma 6.50 8.58
flavor 6.75 8.50
moisture_percentage 0.00 13.50

As we see, only moisture_percentage includes zero in its range, and we would need all numerical regressors to include zero in order for the intercept to have a special meaning in the context of the problem.

Observe that we have decided to use only a subset of regressors and construct a model without interactions. We’ll discuss in Subsection 42.5.5 how we could determine what is the best subset of regressors to use when many are available. We are now ready to discuss inference for multiple linear regression.

42.5 Theory-based inference for multiple linear regression

In this section, we introduce some of the conceptual framework needed to understand inference in multiple linear regression. We illustrate this framework using the coffee example and the R function get_regression_table() introduced in Subsection 42.2.5.

Inference for multiple linear regression is a natural extension of inference for simple linear regression. Recall that the linear model, for the \(i\)th observation is given by

\[y_i = \beta_0 + \beta_1 \cdot x_{i1} + \dots + \beta_p x_{ip} + \epsilon_i\,.\] We assume again that the error term is normally distributed with an expected value (mean) equal to zero and a standard deviation equal to \(\sigma\):

\[\epsilon_i \sim Normal(0, \sigma).\] Since the error term is the only random element in the linear model, the response \(y_i\) results from the sum of a constant

\[\beta_0 + \beta_1 \cdot x_{i1} + \dots + \beta_p x_{ip}\]

and a random variable: the error term \(\epsilon_i\). Using properties of the normal distribution, the expected value, and the variance (and standard deviation), it can be shown that \(y_i\) is also normally distributed with mean equal to \(\beta_0 + \beta_1 \cdot x_{i1} + \dots + \beta_p x_{ip}\) and standard deviation equal to \(\sigma\):

\[y_i \sim Normal(\beta_0 + \beta_1 \cdot x_{i1} + \dots + \beta_p x_{ip}\,,\, \sigma)\]

for \(i=1,\dots,n\). We also assume that \(\epsilon_i\) and \(\epsilon_j\) are independent, so \(y_i\) and \(y_j\) are also independent for any \(i \ne j\). Moreover, the least-squares estimators (\(b_0, b_1, \dots, b_p\)) are linear combinations of the random variables \(y_1, \dots, y_n\) which are normally distributed, as shown above. Again, following properties of the normal distribution, the expected value, and the variance it can be shown that

  • the (least-square) estimators follow a normal distribution,
  • the estimators are unbiased, meaning that the expected value for each estimator is the parameter they are estimating; for example, \(E(b_1) = \beta_1\), or in general \(E(b_j) = \beta_j\) for \(j = 0,1,\dots, p\).
  • the variance and standard deviation of each estimator (\(b_j\)), is a function of \(\sigma\), and the observed data for the explanatory variable (the values of the regressors in the sample). For simplicity, the standard deviation of the estimator \(b_j\) is denoted by \(SD(b_j)\) but remember that it is a function of the standard deviation of the response (\(\sigma\)).
  • Using the information above, the distribution of the (least-squares) estimator \(b_j\) is given by

\[b_j \sim Normal(\beta_j, SD(b_j))\]

for \(j = 1, \dots, p\). Note also that \(\sigma\) is typically unknown, and it is estimated using the estimated standard deviation \(s\) instead of \(\sigma\). The estimated standard deviation for \(b_j\) is called the standard error of \(b_j\) and written as \(SE(b_j)\). Again, remember that the standard error is a function of \(s\).

The standard errors are shown when applying the get_regression_table() function on a regression model. The output for the model mod_mult in in Table 42.9:

get_regression_table(mod_mult)
Table 42.9: The regression table for mod_mult
term estimate std_error statistic p_value lower_ci upper_ci
intercept 37.321 1.116 33.45 0.000 35.121 39.522
aroma 1.732 0.222 7.80 0.000 1.294 2.170
flavor 4.316 0.226 19.09 0.000 3.870 4.762
moisture_percentage -0.008 0.030 -0.27 0.787 -0.067 0.051
continent_of_origin: Asia -0.393 0.121 -3.24 0.001 -0.632 -0.154
continent_of_origin: North America -0.273 0.127 -2.15 0.033 -0.524 -0.023
continent_of_origin: South America -0.478 0.142 -3.38 0.001 -0.757 -0.199

We can see that the standard error for the numerical regressors are \(SE(b_1) = 0.22\), \(SE(b_2) = 0.23\), and \(SE(b_3) = 0.03\).

42.5.1 Model dependency of estimators

Many inference methods and results for multiple linear regression are a direct extension of the methods and results discussed in simple linear regression. The most important difference is the fact that the least-square estimators represent partial slopes and their values are dependent on the other regressors in the model. If we change the set of regressors used in a model, the least-squares estimates and its standard errors will likely change as well. And these changes will lead to different confidence interval limits, different test statistics for hypothesis tests, and potentially different conclusions about those regressors.

Using the coffee_data example, suppose that we consider the model:

\[y_i = \beta_0 + \beta_1 \cdot x_{i1} + \beta_2 \cdot x_{i2} + \beta_3 x_{i3} + \epsilon_i\,\] where \(\beta_1\), \(\beta_2\), and \(\beta_3\), are the parameters for the partial slopes of aroma, flavor, and moisture_precentage, respectively. Recall that we assume that the parameters \(\beta_1\), \(\beta_2\), and \(\beta_3\) are constants, unknown to us, but constants. We use multiple linear regression and find the least-square estimates \(b_1\), \(b_2\), and \(b_3\), respectively. The results using the coffee_data are calculated and stored in the object mod_mult_1 and shown in Table 42.10:

# Fit regression model:
mod_mult_1 <- lm(
  total_cup_points ~ aroma + flavor + moisture_percentage, 
  data = coffee_data)

# Get the coefficients of the model
coef(mod_mult_1)
sigma(mod_mult_1)
Table 42.10: Coffee example linear regression coefficients with three regressors
Coefficients Values
(Intercept) b0 36.778
aroma b1 1.800
flavor b2 4.285
moisture_percentage b3 -0.015
s 0.521

Now, assume that we decide instead to construct a model without the regressor flavor, so our model is

\[y_i = \beta_0 + \beta_1 \cdot x_{i1} + \beta_3 \cdot x_{i3} + \epsilon_i\,.\]

Using multiple regression we compute the least-square estimates \(b'_1\) and \(b'_3\), respectively, with the \('\) denoting potentially different coefficient values in this different model. The results using the coffee_data are calculated and stored in the object mod_mult_2 and shown in Table 42.11:

# Fit regression model:
mod_mult_2 <- lm(
  total_cup_points ~ aroma + moisture_percentage, data = coffee_data)

# Get the coefficients of the model
coef(mod_mult_2)
sigma(mod_mult_2)
Table 42.11: Coffee example linear regression coefficients with two regressors
Coefficients Values
(Intercept) b’0 44.010
aroma b’1 5.227
moisture_percentage b’3 -0.062
s’ 0.857

Let’s focus on the partial slope for aroma using both models. Observe that in model mod_mult_1, the partial slope for aroma is \(b_1 = 1.8\). In model mod_mult_2, the partial slope for aroma is \(b'_1 = 5.23\). The results are truly different because the models used in each case are different. Similarly, every other coefficient found is different, the standard deviation estimate is different, and it is possible that the inferential results for confidence intervals or hypothesis tests are different too!

Any results, conclusions, and interpretations of a regressor are only valid for the model used. For example, interpretations or conclusions made about aroma and its effects or influence in total_cup_points are entirely dependent on whether we have used mod_mult_1, mod_mult_2, or another model. Never assume that a conclusion from using one model can translate to a different model.

In addition, it is important to determine which model is the most adequate. Clearly, not both mod_mult_1 and mod_mult_2 can be correct, and we would like to use the one that is the most appropriate. What if neither mod_mult_1 nor mod_mult_2 are adequate, and we should use another model instead? There are two areas in inferential statistics that address these questions. The first area works with comparisons between two models, one using a subset of regressors from the other, as in the coffee example where mod_mult_1 used the regressors aroma, flavor and moisture_percentage while mod_mult_2 used only two of those regressors: aroma and moisture_percentage. We’ll discuss methods addressing this comparison in Subsection 42.5.3. The second area is called model selection or variable selection and uses alternative methods to determine which model, out of the possible available is the most adequate.

42.5.2 Confidence intervals

A 95% confidence interval for any coefficient in multiple linear regression is constructed in exactly the same way as we did for simple linear regression, but we should always interpret them as dependent on the model for which they were attained.

For example, the formula for a 95% confidence interval for \(\beta_1\) is given by \(b_1 \pm q \cdot SE_{b_1}(s)\) where the critical value \(q\) is determined by the level of confidence required, the sample size used (\(n\)), and the corresponding degrees of freedom needed for the \(t\)-distribution (\(n - p\)). In the coffee example, the model mod_mult contains

  • three numerical regressors (aroma, flavor, and moisture_content),
  • one factor (continent_of_origin),
  • the confidence level is 95%,
  • the sample size is \(n = 207\),
  • the number of regression coefficients is \(p = 7\):
  • one intercept (\(b_0\)),
  • three partial slopes for aroma, flavor and moisture_content (\(b_1, b_2\), and \(b_3\)), and
  • three coefficients for the factor levels in the model (\(b_{02}\), \(b_{03}\), and \(b_{04}\)).

So the degrees of freedom are \(n - p = 207 - 7 = 200\).

The 95% confidence interval for the partial slope of \(b_1\) aroma is determined by

\[\begin{aligned} b_1 &\pm q \cdot SE(b_1)\\ = 1.73 &\pm 1.97\cdot 0.22\\ = (1.29 &, 2.17) \end{aligned}\]

The interpretation of this interval is the customary: “We are 95% confident that the population partial slope for aroma (\(\beta_1\)) in the model mod_mult is a number between 1.29 and 2.17.”

We can find these values using get_regression_table() in model mod_mult. This time, however, we’ll add the argument conf.level = 0.98 to get 98% confidence intervals as shown in Table 42.12.

get_regression_table(mod_mult, conf.level = 0.98)
Table 42.12: The regression table for mod_mult with 98% level
term estimate std_error statistic p_value lower_ci upper_ci
intercept 37.321 1.116 33.45 0.000 34.705 39.938
aroma 1.732 0.222 7.80 0.000 1.211 2.252
flavor 4.316 0.226 19.09 0.000 3.786 4.846
moisture_percentage -0.008 0.030 -0.27 0.787 -0.078 0.062
continent_of_origin: Asia -0.393 0.121 -3.24 0.001 -0.678 -0.108
continent_of_origin: North America -0.273 0.127 -2.15 0.033 -0.571 0.025
continent_of_origin: South America -0.478 0.142 -3.38 0.001 -0.810 -0.146

The interpretation for the coefficient for flavor, for example, is: “We are 98% confident that the value of \(\beta_2\) (the population partial slope for flavor) is between 3.79 and 4.85.”

42.5.3 Hypothesis test for a single coefficient

The hypothesis test for one coefficient, say \(\beta_1\) in the model, is similar to the one for simple linear regression. The general formulation for a two-sided test is

\[\begin{aligned} H_0: \beta_1 = B\quad \text{with }\beta_0, \beta_2, \dots, \beta_p \text{ given and arbitrary.}\\ H_A: \beta_1 \ne B\quad \text{with }\beta_0, \beta_2, \dots, \beta_p \text{ given and arbitrary.} \end{aligned}\]

where \(B\) is the hypothesized value for \(\beta_1\). I need to emphaize that \(\beta_0, \beta_2, \dots, \beta_p\) are given but arbitrary to acknowledge that the test only matters in the context of the appropriate model. Notice also that we can perform a test not only for \(\beta_1\) but for any other parameter.

As we did for simple linear regression, the most commonly used test is the one where we check if \(\beta_j = 0\) for any \(j=0,1,\dots,p\). For \(\beta_1\) the two-sided test would be:

\[\begin{aligned} H_0: \beta_1 = 0\quad \text{with }\beta_0, \beta_2, \dots, \beta_p \text{ given and arbitrary}\\ H_A: \beta_1 \ne 0\quad \text{with }\beta_0, \beta_2, \dots, \beta_p \text{ given and arbitrary} \end{aligned}\]

In simple linear regression, testing for \(\beta_1 = 0\) was testing to determine if there was a linear relationship between the response and the only regressor. Now, testing for \(\beta_1 = 0\) is testing whether the corresponding regressor should be part of a linear model that already contains all the other regressors.

This test can be performed with any of the partial slope parameters. For example, can we use the coffee example and model mod_mult_1 (the model with only three numerical regressors) and perform a test for \(\beta_2\) (the population partial slope for regressor flavor). The hypotheses are:

\[\begin{aligned} H_0: \beta_2 = 0\quad \text{with }\beta_0, \beta_1, \beta_3, \beta_{02}, \beta_{03}, \beta_{04} \text{ given and arbitrary.}\\ H_A: \beta_2 \ne 0\quad \text{with }\beta_0, \beta_1, \beta_3, \beta_{02}, \beta_{03}, \beta_{04} \text{ given and arbitrary.} \end{aligned}\]

The relevant code is shown as follows with the output:

get_regression_table(mod_mult_1)
Table 42.13: The regression table for total_cup_points by aroma + flavor + moisture_percentage
term estimate std_error statistic p_value lower_ci upper_ci
intercept 36.778 1.095 33.591 0.000 34.619 38.937
aroma 1.800 0.223 8.089 0.000 1.361 2.239
flavor 4.285 0.229 18.698 0.000 3.833 4.737
moisture_percentage -0.015 0.029 -0.499 0.618 -0.072 0.043

The t-test statistic is

\[t = \frac{b_2 - 0}{SE(b_2)} = \frac{4.28 - 0}{0.23} = 18.7\]

and using this test statistic, the associated \(p\)-value is near zero and R only shows the output as zero. We have enough evidence to reject the null hypothesis that \(\beta_2 = 0\). Recall that when we reject the null hypothesis we say that the result was statistically significant, and we have enough evidence to conclude the alternative hypothesis (\(\beta_2 \ne 0\)). This implies that changes in flavor score provide information about the total_cup_points when flavor is added to a model that already contains aroma and moisture_percentage.

Table 42.13 provides information for all the coefficients. Observe, in particular, that the test for \(\beta_1\) (aroma) is also statistically significant but the test for \(\beta_3\) (moisture_percentage) is not (\(p\)-value = 0.62). For the latter, the conclusion is that there is not statistical evidence to reject the null hypothesis that this partial slope was zero. In other words, we have not found evidence that adding moisture_percentage to a model that already includes aroma and flavor helps explaining changes in the response total_cup_points. We can remove the moisture_percentage regressor from the model.

42.5.4 Hypothesis test for model comparison

There is another hypothesis test that can be performed for multiple linear regression, a test that compares two models, one with a given set of regressors called the full model and the other with only a subset of those regressors called the reduced model.

Using the coffee_data example, suppose that the full model is:

\[Y = \beta_0 + \beta_1 \cdot X_1 + \beta_2 \cdot X_2 + \beta_3 \cdot X_3 + \epsilon\] where \(\beta_1\), \(\beta_2\), and \(\beta_3\) are the parameters for the partial slopes of aroma, flavor, and moisture_precentage, respectively. The multiple linear regression outcomes using the coffee_data dataset on this model are stored in the object mod_mult_1. The reduced model does not contain the regressor flavor and is given by

\[Y = \beta_0 + \beta_1 \cdot X_1 + \beta_3 \cdot X_3 + \epsilon.\]

The multiple linear regression output using this model is stored in the object mod_mult_2. The hypothesis test for comparing the full and reduced models can be written as:

\[\begin{aligned} H_0:\quad &Y = \beta_0 + \beta_1 \cdot X_1 + \beta_2 \cdot X_2 + \epsilon\\ H_A:\quad &Y = \beta_0 + \beta_1 \cdot X_1 + \beta_2 \cdot X_2 + \beta_3 \cdot X_3 + \epsilon \end{aligned}\]

or in words:

\[\begin{aligned} H_0&:\quad \text{the reduced model is adequate}\\ H_A&:\quad \text{the full model is needed} \end{aligned}\]

This test is called an ANOVA test or an \(F\)-test, because the distribution of the test statistic follows an \(F\) distribution. The way it works is that the test compares the sum of squared residuals of both the full and reduced models and determines whether the difference between these models was large enough to suggest that the full model is needed.

To get the result of this test in R, we use the R function anova() and enter the reduced model followed by the full model with Table 42.14 providing information for this test.

anova(mod_mult_2, mod_mult_1) 
Table 42.14: ANOVA test for model comparison
Res.Df RSS Df Sum of Sq F Pr(>F)
204 149.9
203 55.1 1 94.8 350 0

The test statistic is given in the second row for the column F. The test statistic is \(F =349.6\) and the associated \(p\)-value is near zero. In conclusion, we reject the null hypothesis and conclude that the full model was needed.

The ANOVA test can be used to test more than one regressor at a time. This is useful when you have factors (categorical variables) in your model, as all the factor levels should be tested simultaneously. Let’s use our example again, this time making the full model the model with factor continent_of_origin in addition to all three numerical regressors, and the reduced model is the model without continent_of_origin. These models have been computed already in mod_mult and mod_mult_1, respectively. The ANOVA test is performed as follows with the output given in Table 42.15:

anova(mod_mult_1, mod_mult) 
Table 42.15: ANOVA test for second model comparison
Res.Df RSS Df Sum of Sq F Pr(>F)
203 55.1
200 51.3 3 3.72 4.83 0.003

Observe in this output that the degrees of freedom are 3, because we are testing three coefficients at the same time, \(\beta_{02}\), \(\beta_{03}\), and \(\beta_{04}\). When we are testing for the inclusion of a factor in the model, we always need to test all the factor levels at once. Based on the output, the test statistic is \(F =4.83\) and the associated \(p\)-value is \(0.003\). We reject the null hypothesis and conclude that the full model was needed or, alternatively, that it is appropriate to add the factor continent_of_origin to a model that already has aroma, flavor, and moisture_percentage.

42.5.5 Model fit and diagnostics

As we did for simple linear regression, we’ll use the residuals to determine the fit of the model and whether some of the assumptions are not met. In particular, we continue using the plot of residuals against the fitted values and if no model violations are present the plot should be close to a null plot.

While most of the treatment and interpretations are similar to those presented for simple linear regression, when the plot of residuals against fitted values is not a null plot, we know that there is some sort of violation to one or more of the assumptions of the model. It is no longer clear what the reason for this is, but at least one assumption is not met. On the other hand, if the residuals-against-fitted-values plot appears to be close to a null plot, none of the assumptions have been broken and we can proceed with the use of this model.

Let’s use the coffee example. Recall that we have seen that regressors aroma, flavor, and continent_of_origin were statistically significant, but moisture_percentage was not. So, we’ll create a model only with the relevant regressors called mod_mult_final, determine the residuals, and create a plot of residuals against fitted values and a QQ-plot using the grid.arrange() function from the gridExtra package in Figure 42.17:

# Fit regression model:
mod_mult_final <- lm(total_cup_points ~ aroma + flavor + continent_of_origin, 
                     coffee_data)
# Get fitted values and residuals:
fit_and_res_mult <- get_regression_points(mod_mult_final)
g1 <- fit_and_res_mult |>
  ggplot(aes(x = total_cup_points_hat, y = residual)) +
  geom_point() +
  labs(x = "fitted values (total cup points)", y = "residual") +
  geom_hline(yintercept = 0, col = "blue")
g2 <- ggplot(fit_and_res_mult, aes(sample = residual)) +
  geom_qq() +
  geom_qq_line(col="blue", linewidth = 0.5)
grid.arrange(g1, g2, ncol=2)
Residuals vs. fitted values plot and QQ-plot for the multiple regression model.

Figure 42.17: Residuals vs. fitted values plot and QQ-plot for the multiple regression model.

The plot of residuals against fitted values (left) appears to be close to a null plot. This result is desirable because it supports the Linearity condition as no patterns are observed in this plot. The Equal or constant variance also holds as the vertical dispersion seems to be fairly uniform for any fitted values. Since we have assumed the data collected was random and there are no time sequences or other sequences to consider, the assumption of Independence seems to be acceptable too. Finally, the QQ-plot suggests (with the exception of one or two observations) that the residuals follow approximately the normal distribution. We can conclude that this model seems to be good enough to hold the assumptions of the model.

This example concludes our treatment of theory-based inference. We now proceed to study the simulation-based inference.

42.6 Simulation-based Inference for multiple linear regression

42.6.1 Confidence intervals for the partial slopes using infer

We’ll now use the simulation-based methods you previously learned in the context of confidence intervals and hypothesis testing to compute ranges of plausible values for partial slopes with multiple linear regression. Recall that simulation-based methods provide an alternative to the theory-based methods in that they do not rely on the assumptions of normality or large sample sizes. We’ll use the infer package as we did with simple linear regression in Section 42.3, but this time using the fit() function.

Getting the observed fitted model

Let’s revisit these ideas using our full model on the coffee_data with the factor of continent_of_origin and three numerical regressors in aroma, flavor, and moisture_percentage. As we did with hypothesis testing, we can retrieve the observed statistic. In this case, we get the observed coefficients of the model using the specify() function on our full model with formula syntax combined with fit():

observed_fit <- coffee_data |> 
  specify(
    total_cup_points ~ aroma + flavor + moisture_percentage + continent_of_origin
  ) |>
  fit()
observed_fit
# A tibble: 7 × 2
  term                                estimate
  <chr>                                  <dbl>
1 intercept                        37.3214    
2 aroma                             1.73160   
3 flavor                            4.31600   
4 moisture_percentage              -0.00807976
5 continent_of_originAsia          -0.392936  
6 continent_of_originNorth America -0.273427  
7 continent_of_originSouth America -0.478137  

As we would expect, these values match up with the values of mod_mult_table given in the first two columns there in Table 42.16:

mod_mult_table
Table 42.16: The regression table for mod_mult
term estimate std_error statistic p_value lower_ci upper_ci
intercept 37.321 1.116 33.45 0.000 34.705 39.938
aroma 1.732 0.222 7.80 0.000 1.211 2.252
flavor 4.316 0.226 19.09 0.000 3.786 4.846
moisture_percentage -0.008 0.030 -0.27 0.787 -0.078 0.062
continent_of_origin: Asia -0.393 0.121 -3.24 0.001 -0.678 -0.108
continent_of_origin: North America -0.273 0.127 -2.15 0.033 -0.571 0.025
continent_of_origin: South America -0.478 0.142 -3.38 0.001 -0.810 -0.146

The observed_fit values will be our point estimates for the partial slopes in the confidence intervals.

Bootstrap distribution for the partial slopes

We will now find the bootstrap distribution for the partial slopes using the infer workflow. Just like in Section 42.3.1, we are now resampling entire rows of values to construct the bootstrap distribution for the fitted partial slopes using our full sample of 207 coffees:

  1. specify() the variables of interest in coffee_data with the formula: total_cup_points ~ aroma + flavor + moisture_percentage + continent_of_origin.
  2. generate() replicates by using bootstrap resampling with replacement from the original sample of 207 coffees. We generate reps = 1000 replicates using type = "bootstrap" for a total of \(207 \cdot 1000 = 207,000\) rows.
coffee_data |>
  specify(
    total_cup_points ~ continent_of_origin + aroma + flavor + moisture_percentage
  ) |>
  generate(reps = 1000, type = "bootstrap")
Response: total_cup_points (numeric)
Explanatory: continent_of_origin (factor...
# A tibble: 207,000 × 6
# Groups:   replicate [1,000]
   replicate total_cup_points continent_of_origin aroma flavor
       <int>            <dbl> <fct>               <dbl>  <dbl>
 1         1            83.25 Africa               7.92   7.67
 2         1            83.67 Asia                 7.58   7.75
 3         1            85.5  Asia                 8.17   8.08
 4         1            82    North America        7.42   7.42
 5         1            84.42 Asia                 7.83   8   
 6         1            86.08 Asia                 8.17   8.08
 7         1            84.08 North America        7.67   7.83
 8         1            83.67 Asia                 7.83   7.83
 9         1            82.75 North America        7.33   7.5 
10         1            84.33 North America        7.83   7.83
# ℹ 206,990 more rows
# ℹ 1 more variable: moisture_percentage <dbl>
  1. Lastly, fit() models for each of the replicates in the boot_distribution_mlr variable. Here, mlr stands for multiple linear regression.
boot_distribution_mlr <- coffee_quality |>
  specify(
    total_cup_points ~ continent_of_origin + aroma + flavor + moisture_percentage
  ) |>
  generate(reps = 1000, type = "bootstrap") |>
  fit()
boot_distribution_mlr
# A tibble: 7,000 × 3
# Groups:   replicate [1,000]
   replicate term                                estimate
       <int> <chr>                                  <dbl>
 1         1 intercept                        37.4459    
 2         1 continent_of_originAsia          -0.267451  
 3         1 continent_of_originNorth America -0.203579  
 4         1 continent_of_originSouth America -0.458541  
 5         1 aroma                             1.80789   
 6         1 flavor                            4.20492   
 7         1 moisture_percentage              -0.00643938
 8         2 intercept                        34.3890    
 9         2 continent_of_originAsia          -0.425770  
10         2 continent_of_originNorth America -0.237750  
# ℹ 6,990 more rows

Since we have 7 coefficients in our model (corresponding to the intercept, three levels of continent_of_origin, aroma, flavor, and moisture_percentage), we have 7 rows for each replicate. This results in a total of 7000 rows in the boot_distribution_mlr data frame. We can visualize the bootstrap distribution for the partial slopes in Figure 42.18.

visualize(boot_distribution_mlr)
Bootstrap distributions of partial slopes.

Figure 42.18: Bootstrap distributions of partial slopes.

Confidence intervals for the partial slopes

As we did in Section 42.3.1, we can construct 95% confidence intervals for the partial slopes. Here, we focus on using the percentile-based method with the get_confidence_interval() function and type = "percentile" to construct these intervals.

confidence_intervals_mlr <- boot_distribution_mlr |> 
  get_confidence_interval(
    level = 0.95,
    type = "percentile",
    point_estimate = observed_fit)
confidence_intervals_mlr
# A tibble: 7 × 3
  term                               lower_ci   upper_ci
  <chr>                                 <dbl>      <dbl>
1 aroma                             1.33584    2.13218  
2 continent_of_originAsia          -0.657425  -0.143179 
3 continent_of_originNorth America -0.557557   0.0131542
4 continent_of_originSouth America -0.809466  -0.153730 
5 flavor                            3.88508    4.74376  
6 intercept                        34.5254    40.0449   
7 moisture_percentage              -0.0924515  0.0417502

In reviewing the confidence intervals, we note that the confidence intervals for aroma and flavor do not include 0. This suggests that they are statistically significant. This indicates that aroma and flavor have a meaningful and reliable impact on the response variable in the presence of other predictors.

We can also notice that 0 is included in the confidence interval for moisture_percentage. This again provides evidence that it might not be a useful regressor in this multiple linear regression model. This implies that moisture_percentage does not significantly contribute to explaining the variability in the response variable after accounting for other predictors in the model.

We can also visualize these confidence intervals. This is done in Figure 42.19.

visualize(boot_distribution_mlr) +
  shade_confidence_interval(endpoints = confidence_intervals_mlr)
95% confidence intervals for the partial slopes.

Figure 42.19: 95% confidence intervals for the partial slopes.

42.6.2 Hypothesis testing for the partial slopes using infer

We can also conduct hypothesis tests for the partial slopes in multiple linear regression. We’ll use the permutation test to test the null hypothesis \(H_0: \beta_i = 0\) versus the alternative hypothesis \(H_A: \beta_i \neq 0\) for each of the partial slopes. The infer package constructs the null distribution of the partial slopes under the null hypothesis of independence.

Null distribution for the partial slopes

We can also compute the null distribution for the partial slopes using the infer workflow. We will shuffle the values of the response variable total_cup_points across the values of the regressors continent_of_origin, aroma, flavor, and moisture_percentage in the coffee_data dataset. This is done under the assumption of independence between the response and the regressors. The syntax is similar to constructing the bootstrap distribution, but we use type = "permute" and set hypothesize to null = "independence". We’ll set our pseudo-random number generation seed to 2024 in order for the reader to get the same results with the shuffling.

set.seed(2024)
null_distribution_mlr <- coffee_quality |>
  specify(total_cup_points ~ continent_of_origin + aroma + 
      flavor + moisture_percentage) |>
  hypothesize(null = "independence") |>
  generate(reps = 1000, type = "permute") |>
  fit()
null_distribution_mlr
# A tibble: 7,000 × 3
# Groups:   replicate [1,000]
   replicate term                               estimate
       <int> <chr>                                 <dbl>
 1         1 intercept                        82.3301   
 2         1 continent_of_originAsia          -0.193739 
 3         1 continent_of_originNorth America -0.371403 
 4         1 continent_of_originSouth America -0.0830341
 5         1 aroma                            -1.21891  
 6         1 flavor                            1.52397  
 7         1 moisture_percentage              -0.0747986
 8         2 intercept                        82.8068   
 9         2 continent_of_originAsia          -0.239054 
10         2 continent_of_originNorth America -0.617409 
# ℹ 6,990 more rows

Hypothesis tests for the partial slopes

We can now conduct hypothesis tests for the partial slopes in multiple linear regression. We can use the permutation test to test the null hypothesis \(H_0: \beta_i = 0\) versus the alternative hypothesis \(H_A: \beta_i \neq 0\) for each of the partial slopes. Let’s use a significance level of \(\alpha = 0.05\). We can visualize the \(p\)-values in the null distribution by comparing them to the observed test statistics. We do this by adding a shade_p_value() layer visualize().

visualize(null_distribution_mlr) +
  shade_p_value(obs_stat = observed_fit, direction = "two-sided")
Shaded p-values for the partial slopes in this multiple regression.

Figure 42.20: Shaded p-values for the partial slopes in this multiple regression.

From these visualizations in Figure 42.20, we can surmise that aroma and flavor are statistically significant, as their observed test statistics fall far to the right of the null distribution. On the other hand, moisture_percentage is not statistically significant, as its observed test statistic falls within the null distribution. We can also compute the numerical \(p\)-values using the get_p_value() function.

null_distribution_mlr |>
  get_p_value(obs_stat = observed_fit, direction = "two-sided")
# A tibble: 7 × 2
  term                             p_value
  <chr>                              <dbl>
1 aroma                              0.034
2 continent_of_originAsia            0.332
3 continent_of_originNorth America   0.56 
4 continent_of_originSouth America   0.352
5 flavor                             0    
6 intercept                          0    
7 moisture_percentage                0.918

These results match up with our findings from the visualizations of the shaded \(p\)-values with the null distribution and in the regression table in Table 42.13. We reject the null hypothesis \(H_0: \beta_i = 0\) for aroma and flavor, but fail to reject it for moisture_percentage.

42.7 Conclusion

42.7.1 Summary of statistical inference

We’ve finished the last two scenarios, which we re-display in Table 42.17.

Table 42.17: Scenarios of sampling for inference
Scenario Population parameter Notation Point estimate Symbol(s)
1 Population proportion \(p\) Sample proportion \(\widehat{p}\)
2 Population mean \(\mu\) Sample mean \(\overline{x}\) or \(\widehat{\mu}\)
3 Difference in population proportions \(p_1 - p_2\) Difference in sample proportions \(\widehat{p}_1 - \widehat{p}_2\)
4 Difference in population means \(\mu_1 - \mu_2\) Difference in sample means \(\overline{x}_1 - \overline{x}_2\) or \(\widehat{\mu}_1 - \widehat{\mu}_2\)
5 Population regression slope \(\beta_1\) Fitted regression slope \(b_1\) or \(\widehat{\beta}_1\)

Armed with regression modeling techniques, your understanding of sampling for inference, and tools for statistical inference like confidence intervals and hypothesis tests , you’re now equipped to study the significance of relationships between variables in a wide array of data! Many of the ideas presented here can be extended into multiple regression and other more advanced modeling techniques.