21 M7A: Data Visualization

This content draws on material from Statistical Inference via Data Science: A ModernDive into R and the Tidyverse [Second Edition] by Chester Ismay, Albert Y. Kim, and Arturo Valdivia licensed under CC BY-NC-SA 4.0

Changes to the source material include addition of new material; light editing; rearranging, removing, and combining original material; adding and changing links; and adding first-person language from current author.

The resulting content is licensed under CC BY-NC-SA 4.0.

21.1 Introduction

Let’s continue developing your data science toolbox by exploring data visualization. By visualizing data, we gain valuable insights we couldn’t immediately or easily obtain from just looking at the raw data values. We’ll use the ggplot2 package, as it provides an easy way to customize your plots. ggplot2 is rooted in the data visualization theory known as the grammar of graphics, developed by Leland Wilkinson (2005). However, as we recently covered, ggplot2 is included in the tidyverse package, so we’ll actually load that instead.

At their most basic, graphics/plots/charts (you can use these terms more-or-less interchangeably) provide a nice way to explore the patterns in data, such as the presence of outliers, distributions of individual variables, and relationships between groups of variables. Graphics are designed to emphasize the findings and insights you want your audience to understand. This does, however, require a balancing act. On the one hand, you want to highlight as many interesting findings as possible. On the other hand, you don’t want to include so much information that it overwhelms your audience.

As we will see, plots also help us to identify patterns and outliers in our data. We’ll see that a common extension of these ideas is to compare the distribution of one numerical variable, such as what are the center and spread of the values, as we go across the levels of a different categorical variable.

Needed packages

Let’s load all the packages needed for this chapter (this assumes you’ve already installed them). Read Section 6.3 for information on how to install and load R packages.

library(nycflights23)
library(ggplot2)
library(moderndive)
library(tibble)

21.2 The grammar of graphics

Let’s start with a discussion of a theoretical framework for data visualization known as “the grammar of graphics.” This framework serves as the foundation for the ggplot2 package which we’ll use extensively in this walkthrough Think of how we construct and form sentences in English by combining different elements, like nouns, verbs, articles, subjects, objects, etc. We can’t just combine these elements in any arbitrary order; we must do so following a set of rules known as a linguistic grammar. Similarly to a linguistic grammar, “the grammar of graphics” defines a set of rules for constructing statistical graphics by combining different types of layers. This grammar was created by Leland Wilkinson (2005) and has been implemented in a variety of data visualization software platforms like R, but also Plotly and Tableau.

21.2.1 Components of the grammar

In short, the grammar tells us that:

A statistical graphic is a mapping of data variables to aesthetic attributes of geometric objects.

Specifically, we can break a graphic into the following three essential components:

  1. data: the dataset containing the variables of interest.
  2. geom: the geometric object in question. This refers to the type of object we can observe in a plot. For example: points, lines, and bars.
  3. aes: aesthetic attributes of the geometric object. For example, x/y position, color, shape, and size. Aesthetic attributes are mapped to variables in the dataset.

You might be wondering why I wrote the terms data, geom, and aes in a computer code type font. We’ll see very shortly that we’ll specify the elements of the grammar in R using these terms. However, let’s first break down the grammar with an example.

21.2.2 Gapminder data

In February 2006, a Swedish physician and data advocate named Hans Rosling gave a TED talk titled “The best stats you’ve ever seen” where he presented global economic, health, and development data from the website gapminder.org. For example, for data on 142 countries in 2007, let’s consider only a few countries in Table 21.1 as a peek into the data.

Table 21.1: Gapminder 2007 Data: First 3 of 142 countries
Country Continent Life Expectancy Population GDP per Capita
Afghanistan Asia 43.8 31889923 975
Albania Europe 76.4 3600523 5937
Algeria Africa 72.3 33333216 6223

Each row in this table corresponds to a country in 2007. For each row, we have 5 columns:

  1. Country: Name of country.
  2. Continent: Which of the five continents the country is part of. Note that “Americas” includes countries in both North and South America and that Antarctica is excluded.
  3. Life Expectancy: Life expectancy in years.
  4. Population: Number of people living in the country.
  5. GDP per Capita: Gross domestic product (in US dollars).

Now consider Figure 21.1, which plots this for all 142 of the data’s countries.

Life expectancy over GDP per capita in 2007.

Figure 21.1: Life expectancy over GDP per capita in 2007.

Let’s view this plot through the grammar of graphics:

  1. The data variable GDP per Capita gets mapped to the x-position aesthetic of the points.
  2. The data variable Life Expectancy gets mapped to the y-position aesthetic of the points.
  3. The data variable Population gets mapped to the size aesthetic of the points.
  4. The data variable Continent gets mapped to the color aesthetic of the points.

We’ll see shortly that data corresponds to the particular data frame where our data is saved and that “data variables” correspond to particular columns in the data frame. Furthermore, the type of geometric object considered in this plot are points. That being said, while in this example we are considering points, graphics are not limited to just points. We can also use lines, bars, and other geometric objects.

Let’s summarize the three essential components of the grammar in Table 21.2.

Table 21.2: Summary of the grammar of graphics for this plot
data variable aes geom
GDP per Capita x point
Life Expectancy y point
Population size point
Continent color point

21.2.3 Other components

There are other components of the grammar of graphics we can control as well. As you start to delve deeper into the grammar of graphics, you’ll start to encounter these topics more frequently. In this book, we’ll keep things simple and only work with these two additional components:

  • faceting breaks up a plot into several plots split by the values of another variable (Section 21.6)
  • position adjustments for barplots (Section 21.8)

Other more complex components like scales and coordinate systems are left for a more advanced text such as R for Data Science [@rds2016]. Generally speaking, the grammar of graphics allows for a high degree of customization of plots and also a consistent framework for easily updating and modifying them.

21.2.4 ggplot2 package

In this course, we will use the ggplot2 package for data visualization, which is an implementation of the grammar of graphics for R. As we noted earlier, a lot of the previous section was written in a computer code type font. This is because the various components of the grammar of graphics are specified in the ggplot() function included in the ggplot2 package. For the purposes of this book, we’ll always provide the ggplot() function with the following arguments (i.e., inputs) at a minimum:

  • The data frame where the variables exist: the data argument.
  • The mapping of the variables to aesthetic attributes: the mapping argument which specifies the aesthetic attributes involved.

After we’ve specified these components, we then add layers to the plot using the + sign. The most essential layer to add to a plot is the layer that specifies which type of geometric object we want the plot to involve: points, lines, bars, and others. Other layers we can add to a plot include the plot title, axes labels, visual themes for the plots, and facets (which we’ll see in Section 21.6).

Let’s now put the theory of the grammar of graphics into practice.

21.3 Five named graphs - the 5NG

In order to keep things simple in this book, we will only focus on five different types of graphics, each with a commonly given name. We term these “five named graphs” or in abbreviated form, the 5NG:

  1. scatterplots
  2. linegraphs
  3. histograms
  4. boxplots
  5. barplots

I’ll also present some variations of these plots, but with this basic repertoire of five graphics in your toolbox, you can visualize a wide array of different variable types. Note that certain plots are only appropriate for categorical variables, while others are only appropriate for numerical variables.

21.3.1 Scatterplots via geom_point

Let’s now go over the code that will create the desired scatterplot, while keeping in mind the grammar of graphics framework we introduced in Section 21.2. Let’s take a look at the code and break it down piece-by-piece.

ggplot(data = envoy_flights, mapping = aes(x = dep_delay, y = arr_delay)) + 
  geom_point()

Within the ggplot() function, we specify two of the components of the grammar of graphics as arguments (i.e., inputs):

  1. The data as the envoy_flights data frame via data = envoy_flights.
  2. The aesthetic mapping by setting mapping = aes(x = dep_delay, y = arr_delay). Specifically, the variable dep_delay maps to the x position aesthetic, while the variable arr_delay maps to the y position.

We then add a layer to the ggplot() function call using the + sign. The added layer in question specifies the third component of the grammar: the geometric object. In this case, the geometric object is set to be points by specifying geom_point(). After running these two lines of code in your console, you’ll notice two outputs: a warning message and the graphic shown in Figure 21.2.

Arrival delays versus departure delays for Envoy Air flights from NYC in 2023.

Figure 21.2: Arrival delays versus departure delays for Envoy Air flights from NYC in 2023.

Warning: Removed 3 rows containing missing values or values outside the scale range 
(`geom_point()`).

Let’s first unpack the graphic in Figure 21.2. Observe that a positive relationship exists between dep_delay and arr_delay: as departure delays increase, arrival delays tend to also increase. Observe also the large mass of points clustered near (0, 0), the point indicating flights that neither departed nor arrived late.

Let’s turn our attention to the warning message. R is alerting us to the fact that three rows were ignored due to them being missing. For these three rows, either the value for dep_delay or arr_delay or both were missing (recorded in R as NA), and thus these rows were ignored in our plot.

Before we continue, let’s make a few more observations about this code that created the scatterplot. Note that the + sign comes at the end of lines, and not at the beginning. You’ll get an error in R if you put it at the beginning of a line. When adding layers to a plot, you are encouraged to start a new line after the + (by pressing the Return/Enter button on your keyboard) so that the code for each layer is on a new line. As we add more and more layers to plots, you’ll see this will greatly improve the legibility of your code.

To stress the importance of adding the layer specifying the geometric object, consider Figure 21.3 where no layers are added. Because the geometric object was not specified, we have a blank plot that is not very useful!

ggplot(data = envoy_flights, mapping = aes(x = dep_delay, y = arr_delay))
A plot with no layers.

Figure 21.3: A plot with no layers.

21.3.2 Overplotting

The large mass of points near (0, 0) in Figure 21.2 can cause some confusion since it is hard to tell the true number of points that are plotted. This is the result of a phenomenon called overplotting. As one may guess, this corresponds to points being plotted on top of each other over and over again. When overplotting occurs, it is difficult to know the number of points being plotted. There are two methods to address the issue of overplotting:

  1. adjusting the transparency of the points, or
  2. adding a little random “jitter” (or random “nudges”) to each of the points.

Method 1: Changing the transparency

The first way of addressing overplotting is to change the transparency/opacity of the points by setting the alpha argument in geom_point(). We can change the alpha argument to be any value between 0 and 1, where 0 sets the points to be 100% transparent and 1 sets the points to be 100% opaque. By default, alpha is set to 1. In other words, if we don’t explicitly set an alpha value, R will use alpha = 1.

Note how the following code is identical to the code in Section ?? that created the scatterplot with overplotting, but with alpha = 0.2 added to the geom_point() function:

ggplot(data = envoy_flights, mapping = aes(x = dep_delay, y = arr_delay)) + 
  geom_point(alpha = 0.2)
Arrival vs. departure delays scatterplot with alpha = 0.2.

Figure 21.4: Arrival vs. departure delays scatterplot with alpha = 0.2.

The key feature to note in Figure 21.4 is that the transparency of the points is cumulative: areas with a high-degree of overplotting are darker, whereas areas with a lower degree are less dark. Note, furthermore, that there is no aes() surrounding alpha = 0.2. This is because we are not mapping a variable to an aesthetic attribute, but rather merely changing the default setting of alpha. In fact, you’ll receive an error if you try to change the second line to read geom_point(aes(alpha = 0.2)).

Method 2: Jittering the points

The second way of addressing overplotting is by jittering all the points. This means giving each point a small “nudge” in a random direction. You can think of “jittering” as shaking the points around a bit on the plot. Let’s illustrate using a simple example first. Say we have a data frame with 4 identical rows of x and y values: (0,0), (0,0), (0,0), and (0,0). In Figure 21.5, we present both the regular scatterplot of these 4 points (on the left) and its jittered counterpart (on the right).

Regular and jittered scatterplot.

Figure 21.5: Regular and jittered scatterplot.

In the left-hand regular scatterplot, observe that the 4 points are superimposed on top of each other. While we know there are 4 values being plotted, this fact might not be apparent to others. In the right-hand jittered scatterplot, it is now plainly evident that this plot involves four points since each point is given a random “nudge.”

Keep in mind, however, that jittering is strictly a visualization tool; even after creating a jittered scatterplot, the original values saved in the data frame remain unchanged.

To create a jittered scatterplot, instead of using geom_point(), we use geom_jitter(). Observe how the following code is very similar to the code that created the scatterplot with overplotting in Subsection 21.3.1, but with geom_point() replaced with geom_jitter().

ggplot(data = envoy_flights, mapping = aes(x = dep_delay, y = arr_delay)) + 
  geom_jitter(width = 30, height = 30)
Arrival versus departure delays jittered scatterplot.

Figure 21.6: Arrival versus departure delays jittered scatterplot.

In order to specify how much jitter to add, we adjusted the width and height arguments to geom_jitter(). This corresponds to how hard you’d like to shake the plot in horizontal x-axis units and vertical y-axis units, respectively. In this case, both axes are in minutes. How much jitter should we add using the width and height arguments? On the one hand, it is important to add just enough jitter to break any overlap in points, but on the other hand, not so much that we completely alter the original pattern in points.

As can be seen in the resulting Figure 21.6, in this case jittering doesn’t really provide much new insight. In this particular case, it can be argued that changing the transparency of the points by setting alpha proved more effective. When would it be better to use a jittered scatterplot? When would it be better to alter the points’ transparency? There is no single right answer that applies to all situations. You need to make a subjective choice and own that choice. At the very least when confronted with overplotting, however, we suggest you make both types of plots and see which one better emphasizes the point you are trying to make.

21.3.3 Summary

Scatterplots display the relationship between two numerical variables. They are among the most commonly used plots because they can provide an immediate way to see the trend in one numerical variable versus another. However, if you try to create a scatterplot where either one of the two variables is not numerical, you might get strange results. Be careful!

With medium to large datasets, you may need to play around with the different modifications to scatterplots we saw such as changing the transparency/opacity of the points or by jittering the points. This tweaking is often a fun part of data visualization, since you’ll have the chance to see different relationships emerge as you tinker with your plots.

21.4 5NG#2: Linegraphs

The next of the five named graphs are linegraphs. Linegraphs show the relationship between two numerical variables when the variable on the x-axis, also called the explanatory variable, is of a sequential nature. In other words, there is an inherent ordering to the variable.

The most common examples of linegraphs have some notion of time on the x-axis: hours, days, weeks, years, etc. Since time is sequential, we connect consecutive observations of the variable on the y-axis with a line. Linegraphs that have some notion of time on the x-axis are also called time series plots. Let’s illustrate linegraphs using another dataset in the nycflights23 package: the weather data frame.

Let’s explore the weather data frame from the nycflights23 package by running View(weather) and glimpse(weather). Furthermore, let’s read the associated help file by running ?weather to bring up the help file.

Observe that there is a variable called wind_speed of hourly wind speed recordings in miles per hour at weather stations near all three major airports in New York City: Newark (origin code EWR), John F. Kennedy International (JFK), and LaGuardia (LGA).

However, instead of considering hourly wind speeds for all days in 2023 for all three airports, for simplicity let’s only consider hourly wind speeds at Newark airport for the first 15 days in January. This data is accessible in the early_january_2023_weather data frame included in the moderndive package. In other words, early_january_2023_weather contains hourly weather observations for origin equal to EWR (Newark’s airport code), month equal to 1, and day less than or equal to 15.

21.4.1 Linegraphs via geom_line

Let’s create a time series plot (as seen in Figure 21.7) of the hourly wind speeds saved in the early_january_2023_weather data frame by using geom_line() to create a linegraph, instead of using geom_point() like we used previously to create scatterplots:

ggplot(data = early_january_2023_weather, 
       mapping = aes(x = time_hour, y = wind_speed)) +
  geom_line()
Hourly wind speed in Newark for January 1-15, 2023.

Figure 21.7: Hourly wind speed in Newark for January 1-15, 2023.

Much as with the ggplot() code that created the scatterplot of departure and arrival delays for Envoy Air flights in Figure 21.2, let’s break down this code piece-by-piece in terms of the grammar of graphics:

Within the ggplot() function call, we specify two of the components of the grammar of graphics as arguments:

  1. The data to be the early_january_2023_weather data frame by setting data = early_january_2023_weather.
  2. The aesthetic mapping by setting mapping = aes(x = time_hour, y = temp). Specifically, the variable time_hour maps to the x position aesthetic, while the variable wind_speed maps to the y position aesthetic.

We add a layer to the ggplot() function call using the + sign. The layer in question specifies the third component of the grammar: the geometric object in question. In this case, the geometric object is a line set by specifying geom_line().

21.5 5NG#3: Histograms

Let’s consider the wind_speed variable in the weather data frame once again, but unlike with the linegraphs in Section 21.4, let’s say we don’t care about its relationship with time, but rather we only care about how the values of wind_speed distribute. In other words:

  1. What are the smallest and largest values?
  2. What is the “center” or “most typical” value?
  3. How do the values spread out?
  4. What are frequent and infrequent values?

One way to visualize this distribution of this single variable wind_speed is to plot them on a horizontal line as we do in Figure 21.8:

Plot of hourly wind speed recordings from NYC in 2023.

Figure 21.8: Plot of hourly wind speed recordings from NYC in 2023.

This gives us a general idea of how the values of wind_speed distribute: observe that wind speeds vary from around 0 miles per hour (0 kilometers per hour ) up to 38 miles per hour (approximately 61 kilometers per hour). There appear to be more recorded wind speeds between 0 and 20 miles per hour (mph) than outside this range. However, because of the high degree of overplotting in the points, it’s hard to get a sense of exactly how many values are between, say, 10 mph and 15 mph.

What is commonly produced instead of Figure 21.8 is known as a histogram. A histogram is a plot that visualizes the distribution of a numerical value as follows:

  1. We first cut up the x-axis into a series of bins, where each bin represents a range of values.
  2. For each bin, we count the number of observations that fall in the range corresponding to that bin.
  3. Then for each bin, we draw a bar whose height marks the corresponding count.

Let’s drill-down on an example of a histogram, shown in Figure 21.9.

Example histogram.

Figure 21.9: Example histogram.

Let’s focus only on wind speeds between 10 mph and 25 mph for now. Observe that there are three bins of equal width between 10 mph and 25 mph. Thus we have three bins of width 5 mph each: one bin for the 10-15 mph range, another bin for the 15-20 mph range, and another bin for the 20-25 mph range. Since:

  1. The bin for the 10-15 mph range has a height of around 8000. In other words, around 8000 of the hourly wind speed recordings are between 10 mph and 15 mph.
  2. The bin for the 15-20 mph range has a height of around 2400. In other words, around 2400 of the hourly wind speed recordings are between 15 mph and 20 mph.
  3. The bin for the 20-25 mph range has a height of around 700. In other words, around 700 of the hourly wind speed recordings are between 20 mph and 25 mph.

All eight bins spanning 0 mph to 40 mph on the x-axis have this interpretation.

21.5.1 Histograms via geom_histogram

Let’s now present the ggplot() code to plot your first histogram! Unlike with scatterplots and linegraphs, there is now only one variable being mapped in aes(): the single numerical variable wind_speed. The y-aesthetic of a histogram, the count of the observations in each bin, gets computed for you automatically. Furthermore, the geometric object layer is now a geom_histogram(). After running the following code, you’ll see the histogram in Figure 21.10 as well as warning messages. We’ll discuss the warning messages first.

ggplot(data = weather, mapping = aes(x = wind_speed)) +
  geom_histogram()
Histogram of hourly wind speeds at three NYC airports.

Figure 21.10: Histogram of hourly wind speeds at three NYC airports.

`stat_bin()` using `bins=30`. Pick better value with `binwidth`.
Warning: Removed 1033 rows containing non-finite outside the scale range (`stat_bin()`).

The first message is telling us that the histogram was constructed using bins = 30 for 30 equally spaced bins. This is known in computer programming as a default value; unless you override this default number of bins with a number you specify, R will choose 30 by default. We’ll see in the next section how to change the number of bins to another value than the default.

The second warning message is telling us something similar to the warning message we received when we ran the code to create a scatterplot of departure and arrival delays for Envoy Air flights in Figure 21.2: that because some rows have missing NA value for wind_speed, they were omitted from the histogram. R is just giving us a friendly heads-up that this was the case.

Now let’s unpack the resulting histogram in Figure 21.10. Observe that values above 30 mph are rather rare. However, because of the large number of bins, it’s hard to get a sense for which range of wind speeds is spanned by each bin; everything is one giant amorphous blob. So let’s add white vertical borders demarcating the bins by adding a color = "white" argument to geom_histogram() and ignore the warning about setting the number of bins to a better value:

ggplot(data = weather, mapping = aes(x = wind_speed)) +
  geom_histogram(color = "white")
Histogram of hourly wind speeds at three NYC airports with white borders.

Figure 21.11: Histogram of hourly wind speeds at three NYC airports with white borders.

We now have an easier time associating ranges of wind speeds to each of the bins in Figure 21.11. We can also vary the color of the bars by setting the fill argument. For example, you can set the bin colors to be “blue steel” by setting fill = "steelblue":

ggplot(data = weather, mapping = aes(x = wind_speed)) +
  geom_histogram(color = "white", fill = "steelblue")

If you’re curious, run colors() to see all 657 possible choice of colors in R!

21.5.2 Adjusting the bins

Observe in Figure 21.11 that in the 10-20 mph range there appear to be roughly 8 bins. Thus each bin has width 10 divided by 8, or 1.125 mph, which is not a very easily interpretable range to work with. Let’s improve this by adjusting the number of bins in our histogram in one of two ways:

  1. By adjusting the number of bins via the bins argument to geom_histogram().
  2. By adjusting the width of the bins via the binwidth argument to geom_histogram().

Using the first method, we have the power to specify how many bins we would like to cut the x-axis up in. As mentioned in the previous section, the default number of bins is 20. We can override this default, to say 20 bins, as follows:

ggplot(data = weather, mapping = aes(x = wind_speed)) +
  geom_histogram(bins = 20, color = "white")

Using the second method, instead of specifying the number of bins, we specify the width of the bins by using the binwidth argument in the geom_histogram() layer. For example, let’s set the width of each bin to be five mph.

ggplot(data = weather, mapping = aes(x = wind_speed)) +
  geom_histogram(binwidth = 5, color = "white")

We compare both resulting histograms side-by-side in Figure 21.12.

Setting histogram bins in two ways.

Figure 21.12: Setting histogram bins in two ways.

21.5.3 Summary

Histograms, unlike scatterplots and linegraphs, present information on only a single numerical variable. Specifically, they are visualizations of the distribution of the numerical variable in question.

21.6 Facets

Before continuing with the next of the 5NG, let’s briefly introduce a new concept called faceting. Faceting is used when we’d like to split a particular visualization by the values of another variable. This will create multiple copies of the same type of plot with matching x and y axes, but whose content will differ.

For example, suppose we were interested in looking at how the histogram of hourly wind speed recordings at the three NYC airports we saw in Figure 21.9 differed in each month. We could “split” this histogram by the 12 possible months in a given year. In other words, we would plot histograms of wind_speed for each month separately. We do this by adding facet_wrap(~ month) layer. Note the ~ is a “tilde” and can generally be found on the key next to the “1” key on US keyboards. The tilde is required and you’ll receive the error Error in as.quoted(facets) : object 'month' not found if you don’t include it here.

ggplot(data = weather, mapping = aes(x = wind_speed)) +
  geom_histogram(binwidth = 5, color = "white") +
  facet_wrap(~ month)
Faceted histogram of hourly wind speeds by month.

Figure 21.13: Faceted histogram of hourly wind speeds by month.

We can also specify the number of rows and columns in the grid by using the nrow and ncol arguments inside of facet_wrap(). For example, say we would like our faceted histogram to have 4 rows instead of 3. We simply add an nrow = 4 argument to facet_wrap(~ month).

ggplot(data = weather, mapping = aes(x = wind_speed)) +
  geom_histogram(binwidth = 5, color = "white") +
  facet_wrap(~ month, nrow = 4)
Faceted histogram with 4 instead of 3 rows.

Figure 21.14: Faceted histogram with 4 instead of 3 rows.

Observe in both Figures 21.13 and 21.14 the majority of wind speed observations for all months are clustered between 0 and 20 mph, with very few observations exceeding 30 mph.

The histograms show a similar shape across months, with most distributions having a similar largest count and a few larger speed outliers, indicating that lower wind speeds are more common than higher wind speeds.

21.7 5NG#4: Boxplots

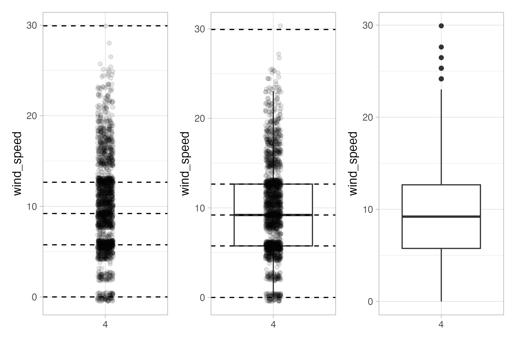
While faceted histograms are one type of visualization used to compare the distribution of a numerical variable split by the values of another variable, another type of visualization that achieves this same goal is a side-by-side boxplot. A boxplot is constructed from the information provided in the five-number summary of a numerical variable. This is a preview of next week’s walkthrough about descriptive statistics! To keep things simple for now, let’s only consider the 2057 recorded hourly wind speed recordings for the month of April, each represented as a jittered point in Figure 21.15.

April wind speeds represented as jittered points.

Figure 21.15: April wind speeds represented as jittered points.

These 2057 observations have the following five-number summary:

  1. Minimum: 0 mph
  2. First quartile (25th percentile): 5.8 mph
  3. Median (second quartile, 50th percentile): 9.2 mph
  4. Third quartile (75th percentile): 12.7 mph
  5. Maximum: 29.92 mph

In the leftmost plot of Figure 21.16, let’s mark these 5 values with dashed horizontal lines on top of the 2057 points. In the middle plot of Figure 21.16 let’s add the boxplot. In the rightmost plot of Figure 21.16, let’s remove the points and the dashed horizontal lines for clarity’s sake.

Building up a boxplot of April wind speeds.

Figure 21.16: Building up a boxplot of April wind speeds.

What the boxplot does is visually summarize the 2057 points by cutting the wind speed recordings into quartiles at the dashed lines, where each quartile contains roughly 2057 \(\div\) 4 \(\approx\) 514 observations. Thus

  1. 25% of points fall below the bottom edge of the box, which is the first quartile of 5.8 mph. In other words, 25% of observations were below 5.8 mph.
  2. 25% of points fall between the bottom edge of the box and the solid middle line, which is the median of 9.2 mph. Thus, 25% of observations were between 5.8 mph and 9.2 mph and 50% of observations were below 9.2 mph.
  3. 25% of points fall between the solid middle line and the top edge of the box, which is the third quartile of 12.7 mph. It follows that 25% of observations were between 9.2 mph and 12.7 mph and 75% of observations were below 12.7 mph.
  4. 25% of points fall above the top edge of the box. In other words, 25% of observations were above 12.7 mph.
  5. The middle 50% of points lie within the interquartile range (IQR) between the first and third quartile. Thus, the IQR for this example is 12.7 - 5.8 = 6.905 mph. The interquartile range measures a numerical variable’s spread.

Furthermore, in the rightmost plot of Figure 21.16, we see the whiskers of the boxplot. The whiskers stick out from either end of the box all the way to the minimum and maximum observed wind speeds of 0 mph and 29.92 mph, respectively. However, the whiskers don’t always extend to the smallest and largest observed values as they do here. They in fact extend no more than 1.5 \(\times\) the interquartile range from either end of the box, in this case of the April wind speeds, no more than 1.5 \(\times\) 6.905 mph = 10.357 mph from either end of the box. Any observed values outside this range get marked with points called outliers, which are marked here, and we’ll discuss further in the next section.

21.7.1 Boxplots via geom_boxplot

Let’s now create a side-by-side boxplot of hourly wind speeds split by the 12 months as we did previously with the faceted histograms. We do this by mapping the month variable to the x-position aesthetic, the wind_speed variable to the y-position aesthetic, and by adding a geom_boxplot() layer:

ggplot(data = weather, mapping = aes(x = month, y = wind_speed)) +
  geom_boxplot()
Invalid boxplot specification.

Figure 21.17: Invalid boxplot specification.

Warning message:
1: Continuous x aesthetic -- did you forget aes(group=...)? 

Observe in Figure 21.17 that this plot does not provide information about wind speed separated by month. The first warning message tells us why. It says that we have a “continuous” (or numerical variable) on the x-position aesthetic. Boxplots, however, require a categorical variable to be mapped to the x-position aesthetic.

We can convert the numerical variable month into a factor categorical variable by using the factor() function. After applying factor(month), month goes from having just the numerical values 1, 2, …, and 12 to having an associated ordering. With this ordering, ggplot() now knows how to work with this variable to produce the plot.

ggplot(data = weather, mapping = aes(x = factor(month), y = wind_speed)) +
  geom_boxplot()
Side-by-side boxplot of wind speed split by month.

Figure 21.18: Side-by-side boxplot of wind speed split by month.

The resulting Figure 21.18 shows 12 separate “box and whiskers” plots similar to the rightmost plot of Figure 21.16 of only April wind speeds. Thus the different boxplots are shown “side-by-side.”

  • The “box” portions of the visualization represent the 1st quartile, the median (the 2nd quartile), and the 3rd quartile.
  • The height of each box (the value of the 3rd quartile minus the value of the 1st quartile) is the interquartile range (IQR). It is a measure of the spread of the middle 50% of values, with longer boxes indicating more variability.
  • The “whisker” portions of these plots extend out from the bottoms and tops of the boxes and represent points less than the 25th percentile and greater than the 75th percentiles, respectively. They’re set to extend out no more than \(1.5 \times IQR\) units away from either end of the boxes. We say “no more than” because the ends of the whiskers have to correspond to observed wind speeds. The length of these whiskers shows how the data outside the middle 50% of values vary, with longer whiskers indicating more variability.
  • The dots representing values falling outside the whiskers are called outliers. These can be thought of as anomalous (“out-of-the-ordinary”) values.

It is important to keep in mind that the definition of an outlier is somewhat arbitrary and not absolute. In this case, they are defined by the length of the whiskers, which are no more than \(1.5 \times IQR\) units long for each boxplot. Looking at this side-by-side plot we can see that the months of February and March have higher median wind speeds as evidenced by the higher solid lines in the middle of the boxes. We can easily compare wind speeds across months by drawing imaginary horizontal lines across the plot. Furthermore, the heights of the 12 boxes as quantified by the interquartile ranges are informative too; they tell us about variability, or spread, of wind speeds recorded in a given month.

21.7.2 Summary

Side-by-side boxplots provide us with a way to compare the distribution of a numerical variable across multiple values of another variable. One can see where the median falls across the different groups by comparing the solid lines in the center of the boxes.

To study the spread of a numerical variable within one of the boxes, look at both the length of the box and also how far the whiskers extend from either end of the box. Outliers are even more easily identified when looking at a boxplot than when looking at a histogram as they are marked with distinct points.

21.8 5NG#5: Barplots

Both histograms and boxplots are tools to visualize the distribution of numerical variables. Another commonly desired task is to visualize the distribution of a categorical variable. This is a simpler task, as we are simply counting different categories within a categorical variable, also known as the levels of the categorical variable. Often the best way to visualize these different counts, also known as frequencies, is with barplots (also called barcharts).

One complication, however, is how your data is represented. Is the categorical variable of interest “pre-counted” or not? For example, run the following code that manually creates two data frames representing a collection of fruit: 3 apples and 2 oranges.

fruits <- tibble(fruit = c("apple", "apple", "orange", "apple", "orange"))
fruits_counted <- tibble(
  fruit = c("apple", "orange"),
  number = c(3, 2))

We see both the fruits and fruits_counted data frames represent the same collection of fruit. Whereas fruits just lists the fruit individually…

# A tibble: 5 × 1
  fruit 
  <chr> 
1 apple 
2 apple 
3 orange
4 apple 
5 orange

fruits_counted has a variable count which represent the “pre-counted” values of each fruit.

# A tibble: 2 × 2
  fruit  number
  <chr>   <dbl>
1 apple       3
2 orange      2

Depending on how your categorical data is represented, you’ll need to add a different geometric layer type to your ggplot() to create a barplot, as we now explore.

21.8.1 Barplots via geom_bar or geom_col

Let’s generate barplots using these two different representations of the same basket of fruit: 3 apples and 2 oranges. Using the fruits data frame where all 5 fruits are listed individually in 5 rows, we map the fruit variable to the x-position aesthetic and add a geom_bar() layer:

ggplot(data = fruits, mapping = aes(x = fruit)) +
  geom_bar()
Barplot when counts are not pre-counted.

Figure 21.19: Barplot when counts are not pre-counted.

However, using the fruits_counted data frame where the fruits have been “pre-counted,” we once again map the fruit variable to the x-position aesthetic. Here, we also map the count variable to the y-position aesthetic, and add a geom_col() layer instead.

ggplot(data = fruits_counted, mapping = aes(x = fruit, y = number)) +
  geom_col()
Barplot when counts are pre-counted.

Figure 21.20: Barplot when counts are pre-counted.

Compare the barplots in Figures 21.19 and 21.20. They are identical because they reflect counts of the same five fruits. However, depending on how our categorical data is represented, either “pre-counted” or not, we must add a different geom layer. When the categorical variable whose distribution you want to visualize

  • Is not pre-counted in your data frame, we use geom_bar().
  • Is pre-counted in your data frame, we use geom_col() with the y-position aesthetic mapped to the variable that has the counts.

Let’s now go back to the flights data frame in the nycflights23 package and visualize the distribution of the categorical variable carrier. In other words, let’s visualize the number of domestic flights out of New York City each airline company flew in 2023. Recall from Subsection 6.4.3 when you first explored the flights data frame, you saw that each row corresponds to a flight. In other words, the flights data frame is more like the fruits data frame than the fruits_counted data frame because the flights have not been pre-counted by carrier. Thus we should use geom_bar() instead of geom_col() to create a barplot. Much like a geom_histogram(), there is only one variable in the aes() aesthetic mapping: the variable carrier gets mapped to the x-position. As a difference though, histograms have bars that touch whereas bar graphs have white space between the bars going from left to right.

ggplot(data = flights, mapping = aes(x = carrier)) +
  geom_bar()
Number of flights departing NYC in 2023 by airline using geom_bar().

Figure 21.21: Number of flights departing NYC in 2023 by airline using geom_bar().

Observe in Figure 21.21 that Republic Airline (YX), United Airlines (UA), and JetBlue Airways (B6) had the most flights depart NYC in 2023. If you don’t know which airlines correspond to which carrier codes, then run View(airlines) to see a directory of airlines. For example, AA is American Airlines Inc. Alternatively, say you had a data frame where the number of flights for each carrier was pre-counted as in Table 21.3.

Table 21.3: Number of flights pre-counted for each carrier
carrier number
9E 54141
AA 40525
AS 7843
B6 66169
DL 61562
F9 1286
G4 671
HA 366
MQ 357
NK 15189
OO 6432
UA 79641
WN 12385
YX 88785

In order to create a barplot visualizing the distribution of the categorical variable carrier in this case, we would now use geom_col() instead of geom_bar(), with an additional y = number in the aesthetic mapping on top of the x = carrier. The resulting barplot would be identical to Figure 21.21.

21.8.2 Avoid pie charts!

One of the most common plots used to visualize the distribution of categorical data is the pie chart. While they may seem harmless enough, pie charts actually present a problem in that humans are unable to judge angles well. As Naomi Robbins (2013) describes in her book, Creating More Effective Graphs, we overestimate angles greater than 90 degrees and we underestimate angles less than 90 degrees. In other words, it is difficult for us to determine the relative size of one piece of the pie compared to another.

Let’s examine the same data used in our previous barplot of the number of flights departing NYC by airline in Figure 21.21, but this time we will use a pie chart in Figure 21.22. Try to answer the following questions:

  • How much smaller is the portion of the pie for Hawaiian Airlines Inc. (HA) compared to United Airlines (UA)?
  • What is the third largest carrier in terms of departing flights?
  • How many carriers have fewer flights than Delta Air Lines Inc. (DL)?
The dreaded pie chart.

Figure 21.22: The dreaded pie chart.

While it is quite difficult to answer these questions when looking at the pie chart in Figure 21.22, we can much more easily answer these questions using the barchart in Figure 21.21. This is true since barplots present the information in a way such that comparisons between categories can be made with single horizontal lines, whereas pie charts present the information in a way such that comparisons must be made by comparing angles.

21.8.3 Two categorical variables

Barplots are a very common way to visualize the frequency of different categories, or levels, of a single categorical variable. Another use of barplots is to visualize the joint distribution of two categorical variables at the same time.

Let’s examine the joint distribution of outgoing domestic flights from NYC by carrier as well as origin, in other words, the number of flights for each carrier and origin combination. This corresponds to the number of American Airlines flights from JFK, the number of American Airlines flights from LGA, the number of American Airlines flights from EWR, the number of Endeavor Air flights from JFK, and so on. Recall the ggplot() code that created the barplot of carrier frequency in Figure 21.21:

ggplot(data = flights, mapping = aes(x = carrier)) + 
  geom_bar()

We can now map the additional variable origin by adding a fill = origin inside the aes() aesthetic mapping.

ggplot(data = flights, mapping = aes(x = carrier, fill = origin)) +
  geom_bar()
Stacked barplot of flight amount by carrier and origin.

Figure 21.23: Stacked barplot of flight amount by carrier and origin.

Figure 21.23 is an example of a stacked barplot. While simple to make, in certain aspects it is not ideal. For example, it is difficult to compare the heights of the different colors between the bars, corresponding to comparing the number of flights from each origin airport between the carriers.

Before we continue, let’s address some common points of confusion among new R users. First, the fill aesthetic corresponds to the color used to fill the bars, while the color aesthetic corresponds to the color of the outline of the bars. This is identical to how we added color to our histogram in Subsection 21.5.1: we set the outline of the bars to white by setting color = "white" and the colors of the bars to blue steel by setting fill = "steelblue". Observe in Figure 21.24 that mapping origin to color and not fill yields grey bars with different colored outlines.

ggplot(data = flights, mapping = aes(x = carrier, color = origin)) +
  geom_bar()
Stacked barplot with color aesthetic used instead of fill.

Figure 21.24: Stacked barplot with color aesthetic used instead of fill.

Second, note that fill is another aesthetic mapping much like x-position; thus we were careful to include it within the parentheses of the aes() mapping. The following code, where the fill aesthetic is specified outside the aes() mapping will yield an error. This is a fairly common error that new ggplot users make:

ggplot(data = flights, mapping = aes(x = carrier), fill = origin) +
  geom_bar()

An alternative to stacked barplots are side-by-side barplots, also known as dodged barplots, as seen in Figure 21.25. The code to create a side-by-side barplot is identical to the code to create a stacked barplot, but with a position = "dodge" argument added to geom_bar(). In other words, we are overriding the default barplot type, which is a stacked barplot, and specifying it to be a side-by-side barplot instead.

ggplot(data = flights, mapping = aes(x = carrier, fill = origin)) +
  geom_bar(position = "dodge")
Side-by-side barplot comparing number of flights by carrier and origin.

Figure 21.25: Side-by-side barplot comparing number of flights by carrier and origin.

Lastly, another type of barplot is a faceted barplot. Recall in Section 21.6 we visualized the distribution of hourly wind speeds at the 3 NYC airports split by month using facets. We apply the same principle to our barplot visualizing the frequency of carrier split by origin. Instead of mapping origin to fill we include it as the variable to create small multiples of the plot across the levels of origin in Figure 21.26.

ggplot(data = flights, mapping = aes(x = carrier)) +
  geom_bar() +
  facet_wrap(~ origin, ncol = 1)
Faceted barplot comparing the number of flights by carrier and origin.

Figure 21.26: Faceted barplot comparing the number of flights by carrier and origin.

21.8.4 Summary

Barplots are a common way of displaying the distribution of a categorical variable, or in other words the frequency with which the different categories (also called levels) occur. They are easy to understand and make it easy to make comparisons across levels. Furthermore, when trying to visualize the relationship of two categorical variables, you have many options: stacked barplots, side-by-side barplots, and faceted barplots. Depending on what aspect of the relationship you are trying to emphasize, you will need to make a choice between these three types of barplots and own that choice.

21.9 Conclusion

21.9.1 Summary table

Let’s recap all five of the five named graphs (5NG) in Table 21.4 summarizing their differences. Using these 5NG, you’ll be able to visualize the distributions and relationships of variables contained in a wide array of datasets. This will be even more the case as we start to map more variables to more of each geometric object’s aesthetic attribute options, further unlocking the awesome power of the ggplot2 package.

Table 21.4: Summary of Five Named Graphs
Named graph Shows Geometric object Notes
1 Scatterplot Relationship between 2 numerical variables geom_point()
2 Linegraph Relationship between 2 numerical variables geom_line() Used when there is a sequential order to x-variable, e.g., time
3 Histogram Distribution of 1 numerical variable geom_histogram() Facetted histograms show the distribution of 1 numerical variable split by the values of another variable
4 Boxplot Distribution of 1 numerical variable split by the values of another variable geom_boxplot()
5 Barplot Distribution of 1 categorical variable geom_bar() when counts are not pre-counted, geom_col() when counts are pre-counted Stacked, side-by-side, and faceted barplots show the joint distribution of 2 categorical variables

21.9.2 Function argument specification

Let’s go over some important points about specifying the arguments (i.e., inputs) to functions. Run the following two segments of code:

# Segment 1:
ggplot(data = flights, mapping = aes(x = carrier)) +
  geom_bar()

# Segment 2:
ggplot(flights, aes(x = carrier)) +
  geom_bar()

You’ll notice that both code segments create the same barplot, even though in the second segment we omitted the data = and mapping = code argument names. This is because the ggplot() function by default assumes that the data argument comes first and the mapping argument comes second. As long as you specify the data frame in question first and the aes() mapping second, you can omit the explicit statement of the argument names data = and mapping =.

Going forward for the rest of this book, all ggplot() code will be like the second segment: with the data = and mapping = explicit naming of the argument omitted with the default ordering of arguments respected. We’ll do this for brevity’s sake; it’s common to see this style when reviewing other R users’ code.

21.9.3 Additional resources

If you want to further unlock the power of the ggplot2 package for data visualization, we suggest that you check out RStudio’s “Data Visualization with ggplot2” cheatsheet. This cheatsheet summarizes much more than what we’ve discussed in this chapter. In particular, it presents many more than the 5 geometric objects we covered in this chapter while providing quick and easy to read visual descriptions. For all the geometric objects, it also lists all the possible aesthetic attributes one can tweak. In the current version of RStudio in late 2019, you can access this cheatsheet by going to the RStudio Menu Bar -> Help -> Cheat Sheets -> “Data Visualization with ggplot2.” You can see a preview in the figure below. Alternatively, you can preview the cheat sheet by going to the ggplot2 Github page with this link.

Data Visualization with ggplot2 cheatsheet.

Figure 21.27: Data Visualization with ggplot2 cheatsheet.

21.10 References

Grolemund, G., and Wickham, H. (2017). R for Data Science (1st edition). O’Reilly Media. https://r4ds.had.co.nz/.

Robbins, N. (2013). Creating more effective graphs. Chart House.

Wilkinson, L. 2005. The grammar of graphics (Statistics and computing). Springer-Verlag.